论土的摩擦强度
2017-08-25
434
0
核心提示: 土粒间的摩擦包括滑动摩擦与咬合摩擦。相互咬合的颗粒间犬牙交错,在相对运动时,颗粒会不可避免的滑移、错动、翻转、破碎亦
土粒间的摩擦包括滑动摩擦与咬合摩擦。相互咬合的颗粒间犬牙交错,在相对运动时,颗粒会不可避免的滑移、错动、翻转、破碎亦即由此引起的颗粒间的重排列等。
1. 滑动摩擦
其实摩擦这一概念最早是源于物体界面间的一种相互作用力,沿着固体表面滑动即产生真正意义上的磨擦力,这也是人类最早认识的摩擦。
图1. 抛光的固体表面接触的放大图
从图1可见,固体接触平面间的性质和影响因素是很复杂的。即使是很“光滑的”固体表面也是不完全平整的,其不平度在10nm~100nm(纳米,10-9m)之间,不平处的坡度为120°~175°。因而所谓平面间的滑动摩擦也存在不规则表面的咬合和“自锁”作用。
滑动摩擦是土摩擦强度的主要部分,可以表示为:
其中N为正压力,T为开始滑动时的剪切力,μ为摩擦系数,

为滑动摩擦角。可见摩擦阻力T正比于正压力N,两物体间摩擦阻力与正压力成正比,而与物体尺寸无关。对于三轴试验,如果颗粒是六面体,图2(a)所示的试样就是一种纯滑动摩擦的情况,这时沿着45°+

/2的角度滑动,是固体颗粒间纯滑动摩擦;而图2(b)就不是纯滑动摩擦的情况,也不会是沿着沿着45°+

/2的角度滑动。实际上由于现实的土颗粒的不规则性,几乎不可能是纯滑动摩擦的。表1表示的是组成土的常见的固体矿物间的滑动摩擦角。
图2滑动摩擦与咬合
表1常见矿物的滑动摩擦角
2.咬合摩擦
由于土颗粒间不可能都是平面接触,土体的摩擦不会是简单的颗粒间沿表面的滑动摩擦,。由于颗粒间的犬牙交错的排列,使在剪切面处的颗粒发生提升、错动、转动、拔出,并伴随着土的体积改变、颗粒的重定向排列及颗粒本身的破碎断裂,见图3。在剪切力作用下,如果组成土颗粒的强度高,压力和剪力不大,则颗粒会发生转动、移动而使土变松,土体积扩大,产生剪胀,如图3(b);如果颗粒矿物较弱,压力与剪力很高,则可能产生颗粒的剪断、破碎, 如图3(c);在约束条件较松,颗粒中的针片状较多,强度也不低。可能发生颗粒的重排列, 如图3(d)。而实际上这几种情况可能是同时、混合发生的。
图3土颗粒的咬合
① 剪胀与剪缩
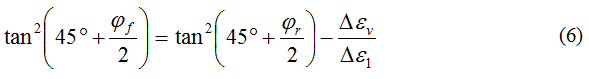
由于剪切引起的土体积变化称为剪胀,所以广义的剪胀包括剪胀和剪缩(见图4)。在图4(a)中,颗粒重心提升,颗粒的位能增加,剪胀需要额外的外部能量,正如我们推车上坡一样。所以一般表现为强度的增加(相对于滑动摩擦);而剪缩则部分释放了颗粒的势能(图4(b),(c)),表现为强度的减小。剪胀的结果使颗粒从低势能状态变为高势能状态,要消耗额外能量,因而剪胀后的状态常常是不稳定的,通常颗粒发生剪胀后对应着峰值强度,然后强度急剧下降,最后当土的体积不变时,对应于土的相对稳定的残余强度。参见图5。

(a) 剪胀 (b) 剪缩 (c)剪缩
图4 密砂的剪胀与松砂的剪缩
图5 剪胀土的应力应变关系曲线

图6三轴试验的剪缩模型
图6表示了三轴试验的剪胀模型,忽略试样的压缩,此图示意表示了试样在有无剪胀时的两种状态。图6(a)表示无剪切体变情况。由于围压

与体应变

不变(忽略压缩变形),这时外荷载在单位体积上所作的功wr为:
而在有剪胀情况的图6(b)中,在同样围压

下,单位体积外力作功wf除包括上式中wr外,还需要克服

对于体变(体胀)阻力作的功:
其中Δεv是负值,即体胀。
两侧除以

,从上式得:
由于其中

与图6(a)的

相等,式(4)两侧除以则

则得
在破坏时
由于

是负值(剪胀),所以在有剪胀情况下的内摩擦角

比无剪胀时内摩擦角

高。这是由于需克服

对体胀的阻力所作的额外功。
②土颗粒破碎与重排列
在图3中表示了在有咬合情况下剪切土颗粒的三种可能的相互位置的变化(b),(c)和(d),在某一正应力与剪切力作用下,这三种情况都是可能发生的,决定性的因素在于在这种具体内外因条件下哪一个的抗力最小,或者说哪一个耗费的能量最小。所谓的“不是鱼死就是网破”就是这个道理,或者说“凡是现实的都是合理的”。
图7 表现的是一种具有一定密度的砂土的强度包线。曲线①为该砂土矿物的纯滑动摩擦角(如图2(a));而实际上砂土总是存在咬合的,在较密实或低围压下,会发生剪胀,提高了其强度包线;在松散或高围压下,会发生剪缩,则会降低其强度包线,见曲线②;如果砂土的颗粒都是刚性不可破碎的,就会以剪胀为主,包线会接近于线④;但实际颗粒会在高压下破碎、断裂,也可能颗粒的定向转动而发生重排列,不能一直剪胀,这样它实际表现的包线就是线③。
与曲线①相比,曲线③表明由于咬合,颗粒的破碎与重定向排列也需要额外的外加能量,所以也增加了土的抗剪强度,但它比曲线④需要的能量要小。在高围压下,颗粒破碎量大,很少发生剪胀。颗粒的重排列往往会破坏土的原有结构,造成剪胀量减少。从这个角度来看,颗粒的破碎和重排列又减少了土的剪胀,与不发生颗粒的破碎和重排列的线④相比,实际上减少了土的剪胀性和抗剪强度。
图9砂土的强度包线及其影响
随着围压(或正应力)的增加,颗粒破碎以及剪胀的减少,使土的内摩擦角减小,因而对于粗粒土,其抗剪强度包线通常是非线性的,可表示为
对于由坚硬岩石构成的堆石坝料,式(7)中的

可达

,

达10°~12°;而软岩堆石料的

则更大。
3 土的摩擦强度的讨论
土体是土颗粒群的集合,土颗粒群组合成土骨架,这才形成为可抵抗外部作用的土体。它有强度、有刚度、可承载、可容纳孔隙水,可成为孔隙水渗流的载体。易传讲:“地势坤。君子以厚德载物”,“地”者土也,地球的表面以布满由碎散颗粒组成的大地,在貌似软弱的土组成的大地上,产生了生灵万物,承载着几乎所有的建筑物与构造物。
在自然界可以看到各种生物的群体,蚁群、蜂群、鸟群、鱼群、羊群、牛群、象群、狮群、狼群、猴群与人群等,与土是由颗粒组成的散粒体集合一样,它们也都是由很多个体组成的群体,作为一个群体它们能够生存、迁移、繁衍、抵御天敌、觅食与捕猎,与土体一样要形成整体的骨架,在首领、巫师、长老、酋长、领袖的统领下形成群落、部落。
与游离的个体相比,群体具有更强的抵抗力与战斗力。凡是这种由很多个体形成的群体,都要服从库仑公式,摩擦强度是群体生存的基础。摩擦强度类似于军队的战斗力,乌合之众的土匪就没有什么战斗力,原因是他们缺乏纪律和约束。军队的战斗力源于它的纪律。春秋战国时代,吴王阖闾打算攻打楚国,听说《孙子兵法》的作者孙武治兵有方,于是把他请来想让他挂帅,并要求他首先把宫里的100名宫女操练起来给自己看看。 孙武将其分为两队,指令吴王的两个美姬为两队队长,由他带来的军吏作监军。号令一下,宫女们却嬉笑玩闹,不成队形。 孙武令监军将两个美姬队长推出斩首,阖闾再三求情也没用。 当两颗人头端上后,这支没有任何训练的宫女队伍,立刻变得紧张严肃;令行禁止,进退有序。“幽燕多壮士,江南多才子”,江南的吴越在春秋时代其军力是孱弱的,但在孙武及伍子胥的统领下,一直打到大国楚国的国都,攻破了郢都,掘出坟墓里的楚平王,鞭尸三百。吴国成为春秋后期的五霸之一。所以军队中的纪律就是土的围压,土的抗剪强度就是军队的战斗力。从式(1)可见,

,其中的N就是压力或围压。
一支军队的建制、纪律就是围压,紧紧地把颗粒团结在一起,形成骨架,具有强大的摩擦强度,形成战斗力。一支流寇就不如一支有建制的军队有战斗力,原因就在于纪律。但是“盗亦有道”,即强盗亦有其规则,即所谓“黑道”。而溃散的游兵,逃荒的难民则就如泥石流一样全无骨架,常常只有破坏力而无战斗力。
群体中的规则与权威就像施加在土体上的围压一样,使个体们具有固定的位置、分工、接触关系和组构,个体间的摩阻力形成了群体的强度,也就是常说的“团结就是力量”。
一个社会,一个国家也是如此。法律、规则、警察等国家机器其实就是加在人们外部的围压,有了这个围压,就形成骨架,有了约束,有了摩擦强度,分散的群体才能形成整体。不管是王道还是霸道,都可以维持一个相对稳定的社会。