地下结构抗震设计现状与思考
2016-06-06
869
0
核心提示:一、地下结构的地震震害 1.1 隧道结构地震震害 图1.1.1汶川地震洞门开裂 图1.1.2龙溪隧道拱顶坍塌图1.1.3龙溪隧道拱
一、地下结构的地震震害
1.1 隧道结构地震震害
图1.1.1汶川地震洞门开裂 图1.1.2龙溪隧道拱顶坍塌
图1.1.3龙溪隧道拱顶二衬坍塌图 1.1.4隧道底板隆起破坏
图1.1.5侧墙纵向水平裂缝 图1.1.6横向裂缝与错台
图1.1.7 拱脚处斜裂缝 图1.1.8 新泻中夏铁路隧道顶部裂缝


图1.1.9 兵库县神户高铁站内部震害
1.2 隧道结构震害的主要形式
(1)横向剪切移位错台(图1.2.1 )
在地质构造断裂(层)或地层围岩地质突变处,由于围岩嵌固或结构刚度比的突变引起地震作用放大,导致横向剪切破坏。如台湾某输水隧道在进水口下游180m处,隧道水平左右位移造成隧道严重破坏。
(2)隧道拱部及侧墙纵向水平裂缝(图1.2.2)
图1.2.1 横向剪切移位错台 图1.2.2 纵向水平裂缝
受横向地震作用影响引起隧道产生挤压侧向位移,从而产生沿纵向受拉破坏,其裂缝分布主要在隧道顶部及侧墙上,并呈现沿隧道轴纵向形式。
(3)横向裂缝(图1.2.3 、4)
受纵向水平地震作用影响在隧道横截面上产生弯矩内力,并在结构薄弱处出现垂直隧道轴线的横向裂缝。
图1.2.3横向裂缝 图1.2.4躲避洞门处横向破坏
1.3 地下结构地震震害特点
(1)地下结构的地震破坏程度总体上比地上结构要轻,且随着埋深增加其破坏程度有减小趋势;
(2)地下结构的抗震薄弱处主要集中在结构刚度突变处(如洞门处、变断面处等),以及地质构造处或土层性质明显变化处;
(3)隧道破坏的主要形式表现为隧道拱部及侧墙纵向水平裂缝,以及横向裂缝,其次为底板隆起;
(4)地下结构的地震反应与土层分布、土层动力参数等密切相关;
二、地下结构抗震在相关规范中的规定
2.1 铁路行业对隧道结构抗震设计的规定
规范8.1.1条给出了进行隧道强度及稳定性验算的范围,总体上说是否进行抗震计算取决于围岩等级、地震加速度大小及隧道洞宽。
8.1.2条规定了隧道的地震作用计算采用静力法,在验算强度时采用安全系数值评定。
2.2公路行业对隧道结构抗震设计的规定
规范6.2.1条给出了进行隧道强度及稳定性验算的范围,总体上说是否进行抗震计算取决于围岩及道路等级、地震加速度大小。
上述条文解释:(1)静力法计算简便,易于掌握;(2)抗震分析结果与宏观震害调查比较接近;(3)对围岩压力的计算理论尚在进一步探索中,采用精确理论计算实际意义不大。
2.3 城市轨道交通区间隧道抗震设计的规定
该规范首次考虑了地层变位对地下结构抗震的影响,通过土弹簧模拟土层与结构之间的相互作用,并引入了位移法概念,在地下结构抗震设计理念上初次与国际接轨。
2.4 目前各设计方法存在的问题与不足
1 静力法问题
(1)只能近似模拟横向地震作用,精度较差,难以反映真实情况;
(2)无法考虑土层与结构的相互作用,与地下结构的地震实际作用机理出入较大;
(3)对隧道结构,不管是采用集中质量还是连续质量模型都难以计算式中隧道质量m;
2 反应位移法
地震引起地下结构或地层的各种变化称为地震反应,其表现形式为位移、速度及加速度,故称为反应位移法、反应速度法、反应加速度法。
•反应位移法是日本学者在20世纪70年代提出的。日本学者在观测中发现,周围地基变形对隧道结构的地震响应的影响要远远大于惯性力的影响,在此认识的基础上,提出了反应位移法。
•该方法用弹性地基梁模拟隧道结构,以假定形式的地基土体的变形为已知条件并通过土弹簧施加给隧道结构,然后再计算隧道的内力。该方法可以考虑不同的地震波入射角度及行波效应,计算量相对较小,可以通过数值和解析的方式求解地震作用下地下结构横向、纵向内力。
•该法目前仅在《城市轨道交通工程抗震设计规范》有规定,但目前应用还不全面。
三、地下结构抗震特点
地下结构的纵向尺寸远大于横向断面尺寸,并置于被地基土包围的地下空间半无限体内,其地震反应具有如下特性:
(1)地震时地下结构的振动变形受周围地基土的约束显著,结构的动力反应一般不明显表现出自振的影响;另外,地层的刚度远大于结构的刚度,地层的变形迫使结构产生相应的变形,即具有变形的跟随性;;
(2)隧道的延米质量比失去土体的质量小,地震时作用于管片的惯性力比作用于周围土体的惯性力小;
(3)地震的振动能量被周围土体吸收而衰减很大,且具有对地震产生的振动不易激发的特点,即无自激振动特性;
(4)地震波传播过程中,具有时间上的变化特性和明显的空间变化特性,其行波效应明显。
(5)地基土的运动特性对结构抗震影响更大,结构自身特性影响反而较小。
四、地下结构的抗震设计
4.1 反应位移法基本假定:
(1)地下结构位于均质、连续的半无限体内;
(2)地震时,地下结构与围岩土体间存在相互作用,该作用可以通过土弹簧来模拟;
(3)地震时,土体对地下结构的作用沿法线或切线进行 ;
(4)地震波传播过程中,具有时间上和空间上按正弦波形式进行传播,在其完整波长范围内忽略波的衰减。
4.2 按反应位移法计算隧道结构的横向地震作用
1、地层参数计算
在结构以上的地层一般是由多种性质的岩土层构成的,抗震计算时须换算成单一地层进行。
(1)换算单一地层的容重:
(2)考虑地震对地层应变影响时的换地层弹性剪切波速:
(3)动剪切变形系数
(4)压缩变形系数
2、计算地层位移值
假定横向地震时,结构仍然与土体完全接触而没脱开,根据变形协调原则,此时作用于结构上的地震波振幅即为结构的位移,因此

为振动基准面位移速度谱值,为表层地基土的固有自振周期(S),H为振动基岩面埋深,根据GB 50011—2010 第4.1.4 条确定;为地震动峰值位移值。
图4.2.1 隧道横向抗震计算简图
3、隧道结构内力
根据计算的地表水平位移,按下列式可计算出隧道截面的内力。
4.3 按反应位移法计算车站结构的横向地震作用
1、节点质量的简化
对地下车站结构,具有结构中板,质量可向顶、底、中板集中,形成集中

质量(糖葫芦型)。
图4.3.1 地下车站结构质量集中简图
2、计算集中质量惯性力
根据惯性理论,作用于指点的惯性作用为:

—集中指点的最大加速度值,可取;
3、结构外侧壁的相对剪应力
可取结构顶底板处剪应力的平均值,即:
其中、


可按下式计算:
4、结构内力计算
图4.3.2 地下车站结构横向抗震计算简图
按照计算简图和地勘报告中的水平、竖向土弹簧刚度值,即可计算出车站结构在横向地震作用下的内力。
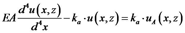
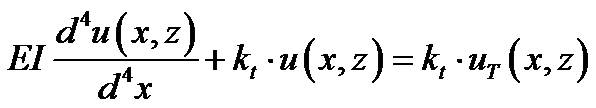
4.4 按反应位移法计算隧道结构的纵向地震作用
图4.4.1 隧道地震变形示意图
隧道纵向地震作用的计算仍然是基于隧道与土层变形的一致,通过隧道对土层变形的追随,将地震位移作为已知条件施加在隧道上,从而计算出管片结构的地震反应内力。
纵向地震作用最明显特征之一是相位差,相位差由于地层介质的不均匀性和传播时间差异引起的,纵向地震在x-y平面内沿隧道纵轴线方向传播,相位差(振幅不等)使隧道结构受到隧道轴向拉压或纵向弯曲作用。
纵向地震作用最明显特征之二是地震波的入射角,定义为在x-y水平面内地震波的传播方向与隧道纵向轴的夹角。
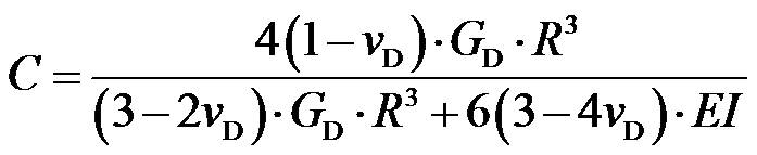
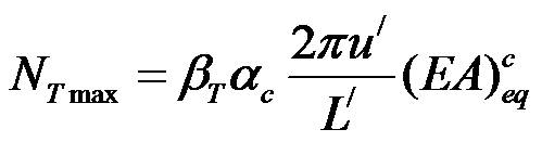
可建立如下平衡方程:
通过求解上述平衡方程,最终获得隧道结构截面的如下最大内力值:
纵向最大轴向压力:
纵向最大轴向拉力:
纵向最大弯矩:
五、结语
1、地下结构的地震震害虽然相对于地上结构为轻,但由于结构的重要性,其地震破坏后果也是很严重的;
2、现行铁路及公路规范中的静力地震计算方法,与地震时地下结构与围岩作用机理相去甚远,难以反映地下结构与围岩运动特性密切关系;
3、反应位移法实现了地下结构 抗震方法与国际的接轨,但目前的 应用还不尽完善,盾构隧道中的纵 向螺栓及二衬结构中的纵向水平钢筋是否应根据纵向水平地震作用弯矩设计?
4、纵向地震引起盾构隧道的“蛇形”变形必将加大管片横缝开口量,从而可能还会影响防水性能
(本文摘自2016海峡两岸岩土工程/地工技术交流研讨会分会场报告,报告人:陈代秉)