为基坑开挖深度,L为桩长,l为中性点深度。

为

为土的侧压力系数;
为桩土接触面摩擦角;
为计算点的竖向有效应力。为便于分析,桩侧取单一土体,则
为惟一变量。.jpg)

为土层有效重度;
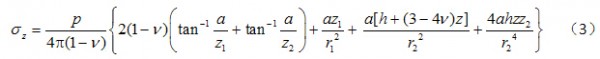
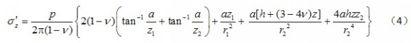
为计算点的竖向附加应力。若宽度为
的条形均布荷载
作用在各向同性的均质弹性半空间内部深度h处,如图2所示,则边缘点下z处的竖向附加应力公式为

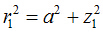
;
;
;
。



为开挖h深度土体引起的计算点处竖向有效应力减少量。


、
分别为正、负侧摩阻力的面积,
、
分别为正、负摩阻力的分布长度,
为桩-土界面相对位移,
为桩-土界面极限相对位移,
、
分别为达到正、负极限相对位移所需的深度。 
、
相等。
、
均呈增大趋势。由于中性点以下部分的竖向有效应力更大,导致
的增长幅度更大,为了维持桩体平衡,
也需相应增加,故正摩阻力的分布长度
增加,中性点位置下移。
仍会增大,但其增长趋势变缓。为了维持桩体平衡,正摩阻力的分布长度
增加,即中性点位置下移,但其下移速率减小。
、
增大。同样由于
的增长趋势更大,为了维持桩体平衡,中性点位置下移。
,为了与之平衡,正摩阻力的范围
会增加,即中性点位置下移。
为土体重度,c为土体黏聚力,
为土体内摩擦角,E为土体弹性模量。|
数据来源
|
截面形式
|
是否设置围护结构
|
L
/ m
|
Δ
/ m
|
l
/ m
|
g
/ (kN/m3)
|
c
/kPa
|
j
/ (°)
|
E
/ MPa
|
|
范巍[7]
|
等截面桩
|
是
|
40.0
|
4.0
|
18.2
|
20.0
|
20 (浅层)
200 (深层)
|
||
|
40.0
|
12.0
|
20.4
|
|||||||
|
40.0
|
20.0
|
24.6
|
|||||||
|
30.0
|
12.0
|
17.0
|
|||||||
|
40.0
|
12.0
|
21.0
|
|||||||
|
50.0
|
12.0
|
27.5
|
|||||||
|
60.0
|
12.0
|
32.5
|
|||||||
|
30.0
|
20.0
|
19.0
|
|||||||
|
40.0
|
20.0
|
24.5
|
|||||||
|
50.0
|
20.0
|
31.2
|
|||||||
|
60.0
|
20.0
|
35.4
|
|||||||
|
胡琦等[8]
|
等截面桩
|
否
|
40.0
|
20.0
|
27.0
|
8.0
|
|||
|
黄茂松等[5]
|
扩底桩
|
否
|
48.5
|
33.5
|
39.4
|
19.3
|
36
|
22.0
|
40
|
|
陈锦剑等[9]
陈锦剑等[9]
|
扩底桩
|
是
|
48.6
|
7.6
|
18.5
|
① 18
|
21.3
|
||
|
48.6
|
12.9
|
24.1
|
② 18.8
|
21.3
|
|||||
|
48.6
|
17.9
|
28.9
|
③ 17.4
|
18.3
|
|||||
|
48.6
|
22.6
|
34.0
|
④ 17.4
|
15.5
|
|||||
|
48.6
|
27.6
|
36.5
|
⑤1-1 18.2
|
11.0
|
|||||
|
48.6
|
33.7
|
39.4
|
⑥1 18.5
|
16.7
|
|||||
|
等截面桩
|
是
|
48.6
|
7.6
|
17.1
|
⑦1 19.8
|
13.0
|
|||
|
48.6
|
12.9
|
21.5
|
⑦2 19.1
|
33.1
|
|||||
|
48.6
|
17.9
|
23.1
|
⑧1 19.4
|
33.8
|
|||||
|
48.6
|
22.6
|
27.0
|
⑧2 18.3
|
17.6
|
|||||
|
48.6
|
27.6
|
30.0
|
⑧3 18.4
|
23.8
|
|||||
|
48.6
|
33.7
|
31.2
|
⑨1 18.7
|
24.4
|
|||||
|
罗耀武[10]
|
扩底桩
|
否
|
40.0
|
10.0
|
27.0
|
8.0
|
38.0
|
100
|
|
|
杨敏等[11]
|
等截面桩
|
否
|
20.0
|
20.0
|
11.1
|
18.0
|
16
|
8.0
|
60
|
|
25.0
|
20.0
|
12.0
|
|||||||
|
30.0
|
20.0
|
12.5
|
|||||||
|
35.0
|
20.0
|
13.1
|
|||||||
|
40.0
|
20.0
|
14.4
|
|||||||
|
郑刚等[6]
|
等截面桩
|
是
|
20.0
|
20.0
|
15.0
|
20.6
|
|||
|
40.0
|
20.0
|
28.5
|
|||||||
|
60.0
|
20.0
|
38.5
|
|||||||
|
80.0
|
20.0
|
48.0
|
|||||||
|
100.0
|
20.0
|
55.0
|
|||||||
|
120.0
|
20.0
|
60.0
|
|||||||
|
王成华等[12]
|
等截面桩
|
是
|
50.0
|
2.0
|
17.9
|
25
|
20.0
|
40
|
|
|
50.0
|
5.0
|
18.5
|
|||||||
|
50.0
|
8.0
|
20.0
|
|||||||
|
查甫生[13]
|
等截面桩
|
是
|
40.0
|
3.0
|
20.0
|
① 17.8
|
16.3
|
||
|
40.0
|
6.0
|
22.5
|
② 18.2
|
11.0
|
|||||
|
40.0
|
9.0
|
25.0
|
③ 19.6
|
14.4
|
|||||
|
40.0
|
12.0
|
27.5
|
④ 19.3
|
31.5
|
|||||
|
卫凌云等[14]
|
等截面桩
|
否
|
40.0
|
10.0
|
26.8
|
8.0
|
5
|
20.0
|
30
|
|
杜一鸣等[15]
|
等截面桩
|
是
|
50.0
|
20.0
|
33.5
|
20.6
|
|||
|
100.0
|
20.0
|
52.0
|

值在0.35~0.81间变化,可以大致看作中性点的变化范围。在同等开挖条件下,扩底桩的中性点位置比等截面桩更深,且更易达到最大值,这与理论分析结果吻合。同时,不设置围护结构的桩,中性点的位置也更深。为了进一步分析其变化规律,将各坐标点进行线性拟合,拟合结果如图5所示。
与
基本符合线性关系,这也说明桩长和开挖深度是影响桩侧摩阻力变化的直接因素。当桩长一定时,随着基坑开挖深度的增加,中性点位置下移,中性点深度与桩长的比值线性增加。当基坑开挖深度一定时,随着桩长的增加,中性点深度与桩长的比值线性减小。

和
与
均呈线性关系,将图6中
等值的各点线性拟合,发现拟合所得直线的倾角a和截距b与
也基本满足线性关系。综上可得中性点深度的简化计算模型。
:



:



分别是关于
和
的修正系数。由此可在已知开挖深度、桩长的前提下,根据已知的土体重度或内摩擦角,快速推算出
的取值,即预测出中性点的位置。|
数据来源
|
截面形式
|
是否设置围护结构
|
L
/ m
|
Δ
/ m
|
g
/ (kN/m3)
|
j
/ (°)
|
l / m
|
||
|
已知
|
预测
|
修正
|
|||||||
|
陈锦剑等[9]
|
等截面桩
|
是
|
48.6
|
17.9
|
19.8
|
13
|
23.1
|
23.3
|
|
|
王成华等[12]
|
等截面桩
|
是
|
50.0
|
5.0
|
20
|
18.5
|
18.3
|
||
|
郑刚等[17]
|
等截面桩
|
否
|
25.0
|
25.0
|
18.6
|
17.2
|
15.3
|
17.1
|
|
|
罗耀武[11]
|
扩底桩
|
否
|
40.0
|
10.0
|
8.0
|
38
|
27.2
|
24.8
|
27.3
|
近似线性增加。
近似线性减小。