(贵州大学土木工程学院,贵阳550025 )
关 键 词:嵌岩桩;较破碎;承载性状
1 引 言
嵌岩桩,即桩端嵌入岩体的桩。由于其单桩承载力高,群桩效应小,抗震性能好,沉降小等特点被广泛应用。根据《建筑桩基技术规范》(JGJ94-2008)(以下简称桩基规范2008版)第5.3.9条的规定,嵌岩桩的桩端需嵌入完整、较完整的基岩。然而在贵阳地区,中风化较破碎的岩层分布很广,许多建筑工程桩基础的桩端就是嵌入这一类的岩层。对于嵌入较破碎岩层情况下如何计算其单桩竖向极限承载力,在桩基规范(2008版)中并未给出详尽的说明,这给桩基础的设计带来了困扰。目前在贵阳地区,许多工程就是将嵌岩桩桩端嵌入较破碎的岩层,且经过多年的运行,并未发现异常。
在国内,很多学者对于此问题进行了深入地研究。关于岩石风化程度与岩石完整性程度的关系,岩土学者袁玩提出岩体的风化程度与完整程度可以一一对应,即全风化对应极破碎,强风化对应破碎,中风化对应较破碎,微风化对应较完整,未风化对应完整等。刘兴远、郑颖人[7]以BP网络模型为基础,对影响嵌岩桩嵌岩段极限承载力的参数进行分析,他们认为风化程度是影响嵌岩段极限承载力的主要因素,桩径对极限承载力的影响呈非线性关系,岩石强度、嵌岩深度对极限承载力的影响基本上呈线性关系,且他们认为存在影响极限承载力的最优桩长。董平、秦然[8]基于剪胀理论建立了适用于弱质岩石嵌岩桩嵌岩段的荷载传递函数及相应的解析解。他们还指出桩端阻力分担比随嵌岩比的增加而减小。张建新、吴东云、杜海金[9]对嵌岩桩的承载特性与破坏方式进行了试验研究。他们指出嵌岩桩的破坏模式与桩岩相对刚度有关,破坏可能发生在桩岩界面、桩周岩体、桩体本身。王勇刚、 李镜培[10]引入Hoek-Brown强度准则,求解出了嵌岩段桩侧阻力的表达式。王勇强[11]对软岩嵌岩段的侧阻力进行了研究,他认为侧阻力的发挥受剪切机理和膨胀滑移机理的影响,且其大小受桩表面的法向刚度所控制。他还指出,岩石强度、模量、界面粗糙程度、岩石初始应力等也会对桩侧阻力产生一定的影响。宋强辉、刘东升、赵燕明[12]通过ANSYS建立嵌岩桩单桩模型,采用随机有限元法对软岩中的嵌岩桩变形和等效应力进行了可靠度分析。该方法是有限元理论与可靠度理论的有机结合,可以为特别复杂的结构的可靠度分析与设计提供了新的发展及研究方向。刘利民、张洪文、张建新[13]通过不同场地五根嵌岩桩载荷试验结果的灰色关联分析,指出嵌岩桩的实际承载性状与人们的传统认识有着很大差别,从而为嵌岩桩的设计和承载力的计算提供了新的思路。
国内的学者对于嵌岩桩的研究取得了丰富的理论成果。但是,对于较破碎嵌岩桩承载机理的研究尚不够深入。本文在前人理论研究、工程实践的基础上,通过对相关规范的学习与研究,并结合现场桩基载荷试验结果,对折减系数 、侧阻和端阻影响系数及嵌岩桩单桩竖向极限承载力计算方法的适用性进行探讨与研究,并给出一种改进的计算方法。
2 桩基静载试验
以贵阳市三组桩基工程为例,三组试验基桩桩端均置入较破碎岩层。通过桩基静载试验得到嵌岩段的桩端极限承载力、桩侧极限承载力及单桩承载力特征值。
(1)工程1的试桩参数如表1所示:
|
嵌入岩层类型
|
平均桩长(m)
|
嵌 岩
深度(m)
|
试桩直径 (m)
|
饱和单轴抗压强度(Mpa)
|
完整 性系 数
|
完整
程度
|
|
中 风 化
泥灰岩
|
20
|
6
|
1.5
|
16.89
|
0.45
|
较破碎
|
|
工程编号
|
桩端
岩性
|
岩石破碎程度
|
中风化白云岩基桩极限端阻力建议值qpr(kPa)
|
中风化白云岩基桩极限侧阻力建议值qsr(kPa)
|
单桩承载力特征值
(kN)
|
|
1
|
中风化
白云岩
|
较破碎
|
14000
|
1200
|
10300
|
|
2
|
中风化
泥质灰岩
|
较破碎
|
8600
|
700
|
9600
|
|
3
|
中风化
泥灰岩
|
较破碎
|
5200
|
440
|
9300
|

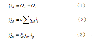
为岩石饱和单轴抗压强度标准值;
、
分别为土总极限侧阻力标准值、嵌岩段总极限侧阻力标准值;
为桩周第i层土的极限侧阻力;
为嵌岩段侧阻与端阻综合系数;
为桩身周长;
、
分别为桩身截面面积、第i层土的厚度。
、
分别为桩端岩石承载力特征与桩侧阻力特征值,由当地静载荷试验结果分析得到;
为第i层岩(土)体的厚度。
为岩石地基承载力特征值, 可通过现场桩基载荷试验确定;
为折减系数,对于较破碎岩体取为0.1~0.2。 |
计算方法
|
公式
|
Ra(kN)
|
备注
|
|
地基规范
|
(4)
|
13031
|
深径比=4
|
|
桩基规范
(2008版)
|
(1)~(3)
|
14858
|
深径比=4
|
|
桩基试验
|
-
|
10300
|
深径比=4
|
|
计算方法
|
公式
|
Ra(kN)
|
备注
|
|
地基规范
|
(4)
|
11189
|
深径比=3
|
|
桩基规范
(2008版)
|
(1)~(3)
|
14397
|
深径比=3
|
|
桩基试验
|
-
|
9600
|
深径比=3
|
|
计算方法
|
公式
|
Ra(kN)
|
备注
|
|
地基规范
|
(4)
|
9265
|
深径比=3
|
|
桩基规范
(2008版)
|
(1)~(3)
|
19520
|
深径比=3
|
|
桩基试验
|
-
|
9300
|
深径比=3
|
)与室内单轴抗压强度标准值(
)关系:

及桩基规范提出计算单桩承载力的建议公式。


为岩石地基承载力特征值,按(5)式确定。其中
按以下方法确定。
,本文建议结合地基规范5.2.6及岩土工程勘察规范中的完整性指数kv综合确定。对于本例中的工程1,岩体为较破碎,kv为0.42。地基基础规范给出的较破碎岩体的折减系数
为0.1~0.2,岩土工程勘察规范中给出的破碎岩体的kv为0.35~0.55,本例的kv为0.42,按线性内插法得到
。同理,可得到工程2、工程3的
分别为0.145,0.15。|
工程类别
|
1
|
2
|
3
|
|
桩基试验(kN)
|
10300
|
9600
|
9300
|
|
本文改进(kN)
|
10029
|
8989
|
9265
|
|
深径比
|
深径比为4
|
深径比为3
|
深径比为3
|


