|
层号
|
土层名称
|
厚度
|
压缩模量
|
内摩擦角(°)
|
容重
|
|
②
|
黏土
|
5
|
11.9
|
8.3
|
19.7
|
|
③
|
粉质黏土
|
3.3
|
6.9
|
18.9
|
|
|
④
|
粉土夹粉砂
|
8.8
|
8.5
|
18.5
|
|
|
⑤
|
粉土
|
5.3
|
10.6
|
18.7
|
|
|
⑥
|
粉质黏土
|
12.5
|
5.9
|
13.6
|
|
|
⑦
|
粉质黏土
|
7.7
|
8.1
|
16.1
|
|
|
⑧
|
细砂
|
1.8
|
18.0*
|
16.1
|
|
|
⑧-1
|
粉质黏土
|
5.4
|
9.1
|
16.2
|
|
|
⑨
|
圆砾
|
2.6
|
40.0*
|









为为土拱区内填土的内摩擦角。












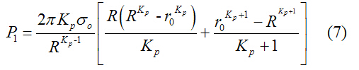
由(5)或(11)计算得到;
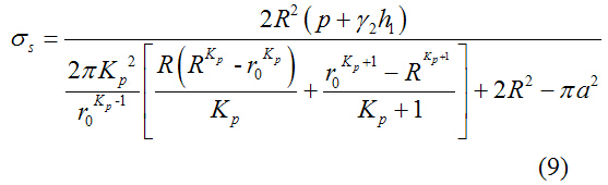
由(6)或(9)计算得到;
为上层硬土层压缩模量;
为区域2的厚度,如图5。
由(6)或(9)计算得到;
为上层硬土层容重。


,则下层硬土层的附加应力根据布辛内斯克解来解答,
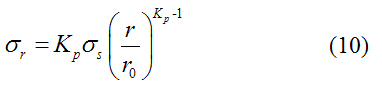
是
和
的函数,
值可查表[14]得到。其中:



, 
。查规范[15]知:
|
土拱塑性点位置
|
土拱顶部
|
桩顶部
|
||
|
桩中心AB
|
拱中心CD
|
桩中心AB
|
拱中心CD
|
|
|
12.54
|
12.54
|
12.54
|
12.54
|
|
|
0.010
|
0.015
|
|||
|
5.15
|
6.56
|
|||
|
3.06
|
4.42
|
|||
|
1.52
|
1.52
|
2.46
|
2.46
|
|
|
1.07
|
2.25
|
1.73
|
3.65
|
|
|
20.28
|
19.38
|
23.29
|
23.09
|
|