复杂条件下挡土墙的微型桩托换加固设计
2015-10-30
913
0
核心提示:刘聪,魏焕卫(山东建筑大学 土木工程学院,山东 济南 250014 )摘 要:针对某地段挡土墙不均匀沉降的现象,通过对挡土墙周围环境
刘聪,魏焕卫
(山东建筑大学 土木工程学院,山东 济南 250014 )
摘 要:针对某地段挡土墙不均匀沉降的现象,通过对挡土墙周围环境和地质条件的分析,并根据理论计算,给出了造成该挡土墙不均匀沉降的原因,即抵抗滑移的抗力不足及大面积回填土引起挡土墙沉降。基于该挡土墙不均匀沉降以及开裂的问题,利用微型桩抗拔、抗剪、抗滑移及增加竖向承载力的能力,解决了该挡土墙在抗滑移、抗剪和抗拔的方面存在的问题,从而达到减小沉降的目的。
关 键 词:挡土墙;不均匀沉降;微型桩;承载力
中图分类号:TU 443 文献标识码:A
1工程概况
某小区已建的挡土墙采用悬壁式挡土墙形式。墙高为4.6m,该挡土墙西侧外两米为已有建筑物外墙,东侧为市政道路,挡土墙的基础底标高低于别墅主体基础底标高0.75m。该挡土墙底部出现不均匀沉降,墙体出现开裂现象,墙身向东侧出现倾斜的状况。对西侧已有建筑物的安全造成一定的影响,同时影响东侧市政道路的行车安全,需要对其挡土墙进行加固处理。
根据场地的《岩土工程勘察报告》,该挡土墙下的土层的地质情况自上而下为:(1)杂填土:杂色,稍密,主要以块石、砖块等建筑垃圾为主,混粉质粘土,层厚平均为22.40 m;(2)黄土状粉质粘土: 黄褐色,可塑,含有机质、腐殖质,层厚平均为6.80m。(3)碎石:青灰色,粒径1-10cm,层厚平均为0.8m。(4)粉质粘土:棕黄-棕红色,可塑-硬塑,含铁锰氧化物、碎石,层厚平均为1.10m。如表1和图2所示。

图1 挡土墙平面布置图
表1 土层物理力学指标
|
层
号
|
γ
/kN·m-3
|
C
/kPa
|
Φ
/°
|
Es
/MPa
|
fak
/kPa
|
|
1
|
18.0
|
10
|
10
|
5
|
50
|
|
2
|
17.8
|
36
|
12
|
9.45
|
100
|
|
3
|
18.7
|
39
|
11
|
10
|
80
|
|
4
|
18.2
|
39.7
|
12
|
9.82
|
100
|

图2 场地工程地质剖面图
注:A为挡土墙基础底面标高4.60m(绝对标高111.35m);B为加固微型托换桩桩底标高31.60m(绝对标高84.35m)。
2挡土墙的现状分析
2.1受力分析
对于对该挡土墙进行受力分析,其主要受到土压力的竖向分力G1、基础底板的自重G2、挡土墙墙身自重G3以及土压力水平方向上的分力Ea如图3所示。
图3悬臂式挡土墙受力分析图
注:G1为墙趾上填土重,G2、G3为基础板自重及墙身自重
根据《建筑结构设计资料集》[1]地基基础分册,土压力的计算有多种理论和方法,比较常用的是朗肯和库伦的理论和计算方法。对于计算主动土压力,库伦理论较符合实际,计算误差较小。
根据表1中的土层物理力学指标以及式(1)、(2)计算得表2中的参数值。
表2 悬臂式挡土墙作用力参数指标
|
参
数
|
G1
(kN/m)
|
G2
(kN/m)
|
G3
(kN/m)
|
Ea1
(kN/m)
|
Ea2
(kN/m)
|
|
数
值
|
134.46
|
34.69
|
52.5
|
237.7
|
57.5
|
2.2稳定性验算
地基稳定性可采用圆弧滑动面法进行验算。根据GB50007-2011《建筑地基基础设计规范》[2],挡土墙的稳定性验算通常包括抗倾覆和抗滑移稳定验算。
2.2.1抗滑移稳定性验算
抗滑移稳定性计算公式为:
式中:Ks 为挡土墙底面的抗滑移稳定安全系数,属于一级边坡取1.3;

为基底与地基之间的摩擦系数

,这里取0.65;∑

为作用在挡土墙上的全部竖向荷载,按表2的数值取221.65

;H为挡土墙的高,这里取4.6m;q为上部均布荷载,这里取10

。
按式(3)计算得到

,故该挡土墙的抗滑移稳定性验算不满足规范要求。
2.2.2抗倾覆稳定性验算
抗倾覆稳定性计算公式为:
式中:

为挡土墙抗倾覆稳定性安全系数;a1为G1作用点到墙趾的水平距离,这里取2.6m;a2为G2作用点到墙趾的水平距离,这里取1.75m;a3为G3作用点到墙趾的水平距离,这里取1.45m。
按式(4)计算得

,故该挡土墙的抗倾覆稳定性验算不满足规范要求。
2.3基底应力
根据GB50007-2011《建筑地基基础设计规范》[2],该挡土墙底部的偏心距可按下式计算:
因此截面部分受压,对挡土墙的稳定性不利。
式中

为基底应力的最大值;C为合力作用点到墙趾的水平距离,这里取2.19m;

为修正后的地基承载力特征值,这里取50

。故计算不满足规范要求。
2.4地基沉降量
2.4.1填土原因
在地基施工过程中,需要大面积进行回填土,在基础四周堆载时,挡土墙会产生沉降量,如魏焕卫和付艳青在基于微型桩托换的建筑物基础加固设计[3]的研究,其值由式(6)计算。
式中:S2为因回填土作用于基础产生的沉降;

为填土底部自重应力;

为回填土重度,这里取18

;

为回填土厚度,这里取13.5m;

为基底下第

层土厚度。
按式(6)计算得该沉降量为89.75mm。
2.4.2土层原因
高填土本身具有一定的湿陷性,根据工程地质剖面图,建筑物地基粉质粘土层在降雨导致基坑积水的情况下会产生湿陷变形。根据GBJ50025-2004《湿陷性黄土地区建筑规范》的有关规定[4]其湿陷量:
式中:S1为湿陷性黄土场地湿陷量,

为第

层土的湿陷系数,这里取0.035,

为第

层土的厚度,这里取600mm;

为修正系数,这里取1.5。
按式(7)计算得该湿陷量为33.26mm。
因此沉降量

。
2.5地基倾斜计算
根据GB50007-2011《建筑地基基础设计规范》[2]建筑物的地基变形计算值不应大于地基变形允许值。倾斜是指基础倾斜方向两端点的沉降差与其距离的比值,其值由式(8)计算。
式中:

为基底变形的倾斜角;

为基础倾斜方向两端点的沉降差,这里取89.75mm;b为基础倾斜方向两端点的距离,这里取3.5m。
按式(8)计算得

,超出了GB50007-2011《建筑地基基础设计规范》 [2]中关于民用建筑相邻柱基沉降差不得超过4 ‰的规定,且大部分沉降差均超出了该允许值。故该挡土墙的设计不安全,需要对其进行加固设计。
3加固方案的计算分析
3.1 加固原则
工程上对于挡土墙加固可采取的方法必须满足以下条件:首先,其必须是常规技术;其二,它能有效抑制或减小墙体变形;其三,它具有可靠的有效性和持久性。根据安全评价结果,可采取的加固方法有注浆加固法、锚杆法、微型桩托换加固法等多种方案,现分述如下:
(1)注浆加固法
注浆加固法适合于基础埋深较低的情况。该挡土墙回填土深度达20m,因厚度太大,难以达到预期的注浆效果,因此不适宜采用注浆加固处理。另外注浆浆液流动性的制约和可控性比较不能够定向定位,容易引起串浆等现象。
(2)锚杆法
由于周边环境情况,该挡土墙外两米左右为已有建筑物的外墙,没有足够的空间使用长锚杆对挡土墙地基加固,短锚杆对挡土墙的加固作用不是很大,同时锚杆法只能保证挡墙不倒,而不能阻止挡墙继续下沉,因此不建议采用锚杆法。
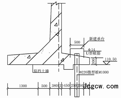
(3)微型桩托换加固法
微型桩托换加固法相比于其他加固方法具有承载力高、沉降量小、所需施工场地较小、桩孔孔径小,另外对各种不同的土质条件都适用,如孙建平等微型桩竖向承载力的估算的研究[5]。该挡土墙的西侧两米为已有建筑物的外墙,施工场地面积较小,同时该地段有明显沉降。除此之外,微型桩具有一定的抗拔、抗剪、抗滑移及增加竖向承载力的能力,而该挡土墙在抗滑移、抗剪和抗拔的方面存在不足,因而采用微型桩托换加固法达到减小沉降的目的。
图4 微型桩托换加固法
3.2托换加固法的计算
3.2.1单桩的承载力参数
根据JGJ94-2008《建筑桩基技术规范》[6]基桩的抗拔极限承载力标准值由式(9)计算。
式中

为基桩抗拔极限承载力标准值;

为桩身周长,这里取0.69m;

为桩侧表面第i层土的抗压极限侧阻力标准值,这里取60

;

为抗拔系数,这里取0.75。
按式(9)计算得

。
根据JGJ94-2008《建筑桩基技术规范》[6]当桩的水平承载力由水平位移控制,且缺少单桩水平静载试验资料时,单桩水平承载力特征值由式(10)计算。
式中

为桩身抗弯刚度,这里取7877.83

;

为桩顶允许水平位移,这里取7.5mm;

为桩顶水平位移系数,这里取0.940;

为桩的水平变形系数,这里取1.14。
按式(10)计算得

。
根据《现代钢管混凝土结构》[7] 和徐春丽钢管混凝土柱抗剪承载力试验研究[8]计算单桩的抗剪承载力公式为:
式中

为单桩的抗剪承载力;

为混凝土的横截面面积,这里取7939

;

为混凝土的抗剪强度,这里取2.01

;

为钢管的横截面面积,这里取626

;

为钢材的抗剪强度,这里取455

。
按式(11)计算得

。
由于单桩水平承载力小于单桩的抗剪承载力,因此验算抗滑移稳定性时,水平方向上的抗力由二者中较小的单桩水平承载力承担。
根据GB50007-2011《建筑地基基础设计规范》[2],由单桩静载荷实验确定单桩竖向承载力特征值的规范经验由式(12)计算。
式中

为单桩竖向承载力特征值;

为桩端端阻力、桩侧阻力特征值,这里取1600kPa,70kPa;

为桩身横截面面积,这里取

;

为桩身周边长度,这里取0.69m;

为第

层岩土的厚度,这里取6.8m。
按式(12)计算得 。
3.2.2加固层的挡土墙稳定性验算
抗倾覆稳定性计算:
式中抗力是G1,G2墙身自重及基础板自重和G3墙趾上填土重到承载力形心的弯矩,以及每延米情况下桩的抗拔承载力;

为桩的作用点到墙趾的水平位移,这里取0.5m;

为桩的有效长度,这里取27m。
按式(13)计算得

满足要求。
抗滑移稳定性计算:
式中抗力为G1,G2墙身自重及基础板自重和G3墙趾上填土重造成的摩擦力,以及每延米情况下单桩的水平承载力;s为桩的直径,这里取0.22m。
按式(14)计算

满足要求。
3.2.3单桩的沉降量验算
根据GB50007-2011《建筑地基基础设计规范》[2],桩基础最终沉降量的计算采用单向压缩分层总和法:
式中s为桩基最终计算沉降量;m为桩端平面以下压缩层范围内土层总数,这里取4;L为桩的长度,这里取27m;
.jpg)
沉降影响系数;

为在

的半空间均质土中单桩的沉降影响系数,根据半空间均质土中单桩沉降影响系数

曲线,

和K分别取120、10;

为考虑均质土厚度的修正系数。
按式(15)计算得

。根据《水工挡土墙设计规范》SL379-2007[9]土质地基上挡土墙地基最大沉降量不宜超过150mm,故满足要求。
3.2.4托换桩的承载力计算
荷载重心:
承载力的形心:
不考虑基底受力情况下的承载力:
式中

为桩基竖向承载力;n为桩基中的桩数,这里取1;

为承载力形心与桩的作用点位置之间的距离,这里取1.12m;

为竖向应力产生的弯矩,这里取248KN•m。
按式(19)计算得

,满足要求。
图5 形心布置图
注:O为几何形心,O1为承载力的形心,O2为荷载重心,O3为桩的作用点。
3.3 微型托换桩的加固设计
3.3.1微型桩的参考数据
微型桩承载力Ra为389.24kPa,微型桩成孔直径为220mm内设2根B14和2根φ25的钢筋,植筋孔直径为18mm,二次压浆微型桩的有效桩长不小于27m。
3.3.2加固方案
微型桩成孔采用水泥浆护壁成孔,成孔清孔后,孔底沉渣厚度不大于50mm,然后放入钢筋笼,插入注浆管至孔底部,用压力注水灰比0.5-0.6的水泥砂浆,直至灌满为止,注浆压力为0.2-0.5MPa。注浆管采用φ25的钢管,加工成花管形状(上部4m部分不加工),花管按500mm的行距,圆周3孔均匀布置,注浆管底端封闭,圆周小孔采用橡皮套单向封闭。新旧承台通过植筋连接,植入原承台深度250mm,内灌喜利得胶。
图6 微型桩加固设计方案图
4结论
通过对挡土墙现状的分析,得出该挡土墙不均匀沉降的原因有抵抗滑移的抗力不足和大面积回填土引起的挡土墙沉降。基于该挡土墙的场地情况和出现的问题,采用微型桩托换法对该桩的抗滑移、抗剪、抗拔的承载力有了大大的提高,按照提供的托换桩加固方案的计算模式验算,以及经过半年的沉降量观测该挡土墙没有继续沉降发生,证实了采取微型桩托换法是可行的。另外微型桩托换加固法还具有承载力高、不产生多余附加应力、对施工中遇到的困难处理灵活性大等优点,因此在解决复杂条件下挡土墙加固中的应用越来越广泛。
参考文献
[1] 建筑结构设计资料集.地基基础分册[S].北京:中国建筑工业出版社,2006.
[2] 中华人民共和国行业标准.GB50007-2011建筑地基基础设计规范[S].北京:中国建筑工业出版社,2011.
[3] 付艳青,魏焕卫,孔军等.基于微型桩托换的建筑物基础加固设计[J].山东建筑大学学报,2014,29(3): 229-234.
[4] GB 50025-2004,湿陷性黄土地区建筑规范[S].北京:中国建筑工业出版社,2004.
[5] 孙剑平,徐向东,张鑫. 微型桩竖向承载力的估算[J]. 施工技术,1999,28(9):20-21.
[6]中华人民共和国行业标准.JGJ94-2008建筑桩基技术规范[S].北京:中国建筑工业出版社,2008.
[7] 蔡绍怀.现代钢管混凝土结构[M].北京:人民交通出版社,2003,1-190.
[8] 徐春丽.钢管混凝土柱抗剪承载力试验研究[J].2004.
[9] 中华人民共和国水利行业标准SL379-2007水工挡土墙设计规范[S].北京:中国建筑工业出版社,2007.
[10] 《桩基工程手册》编写委员会.桩基工程手册.北京:中国建筑工业出版社,1995.
[11]魏焕卫,李岩,孙剑平,等. 微型桩在某储煤仓基础加固中的应用[J].岩土工程学报,2011,33(2):384-387.
[12] 魏焕卫,李俊,徐德亭.侧向受荷桩基变形和受力规律的研究[J].山东建筑大学学报,2010,25(3):293-296.