灰土挤密桩处理湿陷性黄土地基检测评价分析

2015-07-09 255 0
核心提示:西北地区的湿陷性黄土地基,因其特有的土体结构特点和工程性能给工程建设带来一定的难度,灰土挤密桩法是处理湿陷性黄土地基的有效手段,文章对采用灰土挤密桩复合地基处理过的地基质量进行检测和评价,对黄土地区挤密桩法处理地基的效果进行分析,给后续同类工程以借鉴参考。

   随着经济的迅猛发展,基本建设的规模迅速扩大,越来越多的工程需要对天然地基进行人工处理,以保证结构的安全和正常使用。对于西北地区的湿陷性黄土地基,因其特有的土体结构特点和工程性能给工程建设带来一定的难度,1972年起我国在土桩挤密法的基础上,试验成功了具有中国特色的灰土挤密桩法[1][2][3]。和复合地基的工程实践相较,复合地基的理论研究较为滞后,进行复合地基的理论研究,有利于加深其工作机理的认识,进而促进地基处理技术的发展,因此,对灰土挤密桩处理湿陷性黄土地基进一步研究探讨,具有一定的实际意义。本文通过静载荷试验、桩间土干密度试验、桩间土压缩与湿陷性试验,对采用灰土挤密桩复合地基处理过的调蓄水池的地基质量进行检测和评价,对黄土地区挤密桩法处理地基效果进行评价分析。

 
  1试验场地概述
 
  陕西岐山某地基处理拟采用灰土挤密桩法,桩孔径400mm,桩间距1m,等边三角形布设,桩体采用3:7灰土回填,压实系数不得小于0.97。设计要求地基处理后复合地基承载力特征值≥140kPa,桩间土平均挤密系数不小于0.9,压缩模量E0.1~0.2≥10MPa,湿陷系数δs<0.015。
 
  根据勘探揭露,拟建场地的地层自上而下为:
 
  ①黄土状粉质粘土Q41(dl+pl):呈灰黄色、淡灰色、褐黄色,大孔发育、虫孔发育,见大量白色菌丝状钙质网膜,中压缩性,湿陷,层厚2.5~6.2m。地基土承载力特征值fak=110kPa。
 
  ②黄土状粉质粘土Q32eol:呈灰黄色、淡灰色,大孔减退,针孔发育,见白色网状钙质薄膜,偶见姜石,姜石粒径一般2~6cm,湿陷,中压缩性,层厚2.7~4.1m。地基土承载力特征值fak=130kPa。
 
  ③黄土状粉质粘土Q31eol:呈灰黄色、淡灰色,土质均一,针孔发育,见大量白色丝状钙质网膜,上部湿陷,下部不湿陷,勘探揭露层厚1.7~9.9m。地基土承载力特征值fak=150kPa。
 
  勘察期间未见地下水,根据区域水文地质资料,场地内地下水位位于自然地平下25m深处以下。拟建场地位于渭河南岸三级阶地,无不良地质现象,适宜建筑。
 
  拟建场地为自重湿陷性黄土场地,地基湿陷等级为Ⅱ(中等)。
 
  2试验检测内容
 
  静载荷试验8点;开挖探井4孔,井深6m,每口探井延井深每1m取桩间土样和桩体土样各3件进行土工试验,检测桩间土挤密系数、桩间土湿陷系数及压缩模量。该复合地基共取土样180件,测定密度150个,压缩及湿陷试验24组。
 
  3试验结果及分析
 
  3.1静荷载试验结果及分析
 
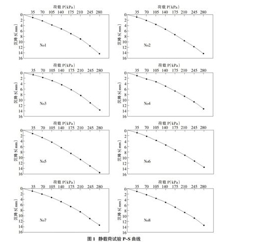
  静载荷试验采用慢速维持荷载法,所用千斤顶和百分表试验前均经过鉴定,精度符合要求。试验分八级加荷,每级35kPa,最大加载量为280kPa,为设计要求值的2倍。每级加载后,按间隔10、10、10、15、15min,以后每隔30min测读1次沉降量,当在连续两个小时内每小时的沉降量<0.10mm时,加下一级荷载。每级加载时间不得少于2.5h。[4]若出现以下情况之一停止加荷:①承压板周围的土明显地侧向挤出;②沉降S急骤增大,荷载~沉降(P~S)曲线出现陡降段;③在某一级荷载下,24h内沉降速率不能达到稳定;④沉降量与承压板直径之比≥0.06。试验结果P~S曲线见图1。

 
  由试验数据及P~S曲线可知,各试验点的曲线光滑且均未出现陡降段,在最大加载量P=280kPa时,8个检测点的沉降量介于13.27mm~15.49mm,各试验点的曲线均呈缓变型未出现陡降段,且沉降量都较小,在设计荷载p=140kPa时,8个试验点的累计沉降量分别为5.22mm、5.35mm、4.43mm、4.94mm、6.41mm、5.43mm、4.80mm、
 
  5.06mm,其最大相对变形值S/d=6.41/1050≈0.006<0.008,故可按相对变形值S/d=0.008所对应的荷载取其承载力,并根据规范“按相对变形值确定的承载力特征值不应大于最大加载压力的一半”的规定,可判定该调蓄水池灰土挤密桩复合地基承载力特征值fak=140kPa,满足设计要求。
 
  3.2桩间灰土干密度试验结果及分析
 
  填土类别为3:7灰土,最大干密度为1.48,最优含水率为24.0%;密度试验采用环刀法,试验共取4孔探井,每个探井每米深度取土样2个,为方便说明问题数据处理后取平均值。试验结果见表1。


 
  试验数据表明:4口探井中,各检测单元桩间土挤密系数介于0.89~1.02之间,平均挤密系数ηc=0.93~0.95≥0.90,满足设计要求。
 
  3.3桩间土压缩与湿陷性结果及分析

 


 
  试验数据(表2)表明:4孔探井共取湿陷性试验土样24件,根据压缩与湿陷性试验结果可知,24件土样的湿陷系数δs均小于0.015,说明场地经处理后湿陷性已消除;压缩模量Es0.1-0.2介于10.0~15.5MPa,平均值Es0.1-0.2为12.8MPa>10.0MPa,满足设计要求。
 
  4结论与讨论
 
  ①根据静载荷试验结果,判定该灰土挤密桩复合地基承载力特征值fspk=140kPa,满足设计要求;
 
  ②根据桩间土干密度试验结果,判定该灰土挤密桩复合地基各检测单元桩间土平均挤密系数ηc≥0.90,满足设计要求;
 
  ③根据桩间土湿陷性试验结果,判定该地基经灰土挤密桩处理后桩间土湿陷性已消除,满足规范要求;
 
  ④根据桩间土压缩试验结果,判定该地基经灰土挤密桩处理后桩间土压缩模量Es0.1-0.2≥10MPa,满足规范要求。
 
  首先,在工程进行前需要进行试桩,试桩是为了给大范围的沉桩作业提供第一手的首次施工参数资料,包括有效桩长、入岩深度、沉渣、灌入度、桩焊接、承载力。
 
  本工程在试桩过程中,界限含水率、比重试验、桩体土密度及含水率试验等各项指标均达到规范要求,因此可进行工程桩布置。
 
  其次,布置工程桩,该工程桩采用灰土挤密桩,其地基经过灰土挤密桩法处理后,室内外试验均达到要求,不用再建造深基础和设置桩基,防止了各类倒塌、下沉、倾斜等恶性事故的发生,确保了上部基础和建筑结构的使用安全和耐久性,可保证工程正常施工和运行。
 
  参考文献:
 
  [1]龚晓楠.地基处理手册[M]中国建筑工业出版社,2008,6:165-169.
 
  [2]杨进良.土力学[M]中国水利水电出版社,2000,5:306-307.
 
  [3]郭小云,等.灰土挤密桩法和强夯法处理湿陷性黄土地基的效果对比[J].施工技术,2012(19):68-69.
 
  [4]SL237-1999,土工试验规程[S].北京:中国水利水电出版社1999.

  • 点赞(0
  • 反对(0
  • 举报(0
  • 收藏(0
  • 分享(15
评论(0)

登录后发表评论~