双混凝土墙板可伸缩模板支撑系统设计与施工技术
2015-04-22
319
0
核心提示: 摘 要:针对目前工程中变形缝两侧模板立拆的施工难点,介绍一种新型的模板支撑系统双混凝土墙板可伸缩模板支撑系统的相关设
摘 要:针对目前工程中变形缝两侧模板立拆的施工难点,介绍一种新型的模板支撑系统——双混凝土墙板可伸缩模板支撑系统的相关设计与施工技术,通过结构力学计算和ANSYS有限元分析2种方式验证该系统的安全性和可行性,最终根据相关的工程实例,阐述该系统的施工工艺流程、操作要点和相关质量控制要点,进而说明该模板支撑系统在工程应用方面所具有的优越性。
关键词:模板;支撑;混凝土墙板;有限元分析;施工技术
0引言
随着现代建筑体量不断增大、高度不断上升,混凝土结构建筑变形缝不可避免地出现。由于变形缝宽度较小(一般为200~300mm),变形缝两边混凝土墙板模板的立拆成了施工中的难题,两侧同时施工基本成为不可能,严重影响了工程进度。
为解决该问题,本文主要介绍一种新型模板支撑系统——狭小空间双混凝土墙板可伸缩模板支撑系统设计与施工技术。该体系的应用很好地解决了变形缝两边混凝土墙板模板不能同时立拆的问题,加快了施工进度,提高了经济效益。
1钢支撑系统设计原理
双墙板模板剪刀型龙骨支撑系统就是利用扭力扳手转动旋转系统中心拉杆上端的紧固螺栓,推动中心拉杆上下运动,在中心拉杆设有多对铰链杆,连接中心拉杆两侧设有主龙骨,从而推动主龙骨支撑系统运动,来调整双面墙模板辅助轻钢龙骨的距离,达到同时固定双面墙模板完成浇筑混凝土的目的。拆除模板时,通过扳手将中心连杆上部紧固螺栓放松下压,龙骨支撑在多对铰链杆拉力作用下自动横向收缩,使轻钢龙骨模板系统与成型混凝土自动脱离,再将整套龙骨系统上提用于下一工作面的模板固定安装,达到双墙板剪刀型龙骨系统使变形缝两侧墙板能够同时安装模板、同时浇筑混凝土、同时拆除模板的目的。该系统具有简便、高效;节约材料;质量精度高;根部位置控制好等优势。
2可伸缩钢支撑系统设计与荷载计算
2.1支撑体系选择
在一系列变形缝施工经验的基础上,本模型的龙骨支撑体系采用图1所示的形式。该变形缝模板支撑系统适用于双墙板厚度20~750px,层高2.8~3.3m的模板施工。其中主要的构件尺寸应根据实际墙板厚度、高度计算确定,中心连杆、固定盖板、铰链杆及端部调节螺母等选材及截面尺寸需经过合理计算确定。

图1 变形缝模板支撑系统
2.2荷载计算
该变形缝模板支撑系统主要由内部的支撑轴通过侧面模板承受侧向混凝土荷载,故需对倾倒混凝土造成的侧压力进行计算,最后对支撑轴进行强度验算。荷载计算主要参考《建筑施工手册》。
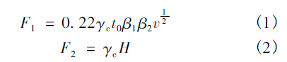
1)新浇混凝土对模板产生的侧压力标准值取F1和F2的较小值:
式中:F1,F2为新浇混凝土对模板产生的最大侧压力;γc为混凝土重度,取25kN/m3;t0为新浇混凝土的初凝时间,按商品混凝土为4~6h,本工程取t0=5h;v为混凝土浇筑速度,取v=2.5m/h;H为混凝土侧压力计算位置处至新浇筑顶面的总高度,取H=3m;β1为外加剂影响修正系数,取β1=1.0;β2为混凝土坍落度修正系数,按坍落度170mm,取β2=1.15。
因此得:F1=50kN/m2;F2=75kN/m2>F1,所以模板侧压力分为2部分:当h<2m时,F=γcH;当h≥2m时,F=50kN/m2。
2)振捣混凝土时对模板产生的水平荷载根据《建筑施工手册》中关于振捣混凝土时产生的水平荷载数据,混凝土浇筑在垂直面模板上,荷载标准值为4kN/m2。
3)荷载组合
由于模板支撑的负荷宽度为0.75m,所以对一个支撑,需要在以上算得力的基础上乘以0.75得到线荷载。为验算模板及其支撑的强度,由1)和2)两项荷载组合得模板承受的水平荷载值为:当h<2m时,q1=(1.2×H×25+1.4×4)×0.75=(22.5h+4.2)kN/m;当h≥2m时,q2=(1.2×50+1.4×4)×0.75=49.2kN/m。
3理论计算与有限元分析
3.1结构力学计算
由于本模板支撑系统是对称结构,故结构计算时取半边结构。根据相关结构力学知识,考虑最大荷载下支撑系统的受力情况。通过结构力学求解器算出的节点约束反力值如表1所示,即为4个支撑轴传递的荷载。
表1 约束反力值
根据表1中的数据,考虑2号支座即最底端支撑轴F2y=57384.1N受力最大(支座节点6为简化支座,不属于模板系统本身构件,故约束反力不计算在内),故对该支撑轴进行强度分析。
根据支撑轴的受力情况
式中:A=1260mm2,θ=72.5°(根据实际工程数据推算出),此时斜杆轴应力值为:σmax=151.45MPa<[σ]=345MPa。由此可见,支撑系统安全。
3.2有限元分析
为了分析支撑系统局部的应力分布情况和力学行为,本文采用实体建模的方式,如图2所示。在本模型中,槽钢两侧承受前文所述的线性荷载和均布荷载的组合荷载,边界条件为底边固接。考虑两侧[80承受750mm左右的侧压力,故ANSYS有限元软件中输入的侧向压力荷载为:当h<2m时,Q1=(1.2×h×25+1.4×4)×0.75/80=(0.28h+0.052);当h≥2m时,Q2=(1.2×50+1.4×4)×0.75/80=0.615N/mm2。
根据图3局部主应力云图可得整体支撑系统应力分布大致均匀,主要在最底端支撑轴的滑块处出现局部的应力集中现象,可见由于墙板底部荷载大,引起支撑系统整体下部等效应力相对较大,应力较大,具体位置为相应长轴和短轴与槽钢和滑块咬合处,与前文结构力学计算所述一致。
图2 支撑系统有限元模型

图3 局部主应力云图
3.3结果分析
将结构力学简化计算结果与ANSYS有限元分析模拟得到的结果进行对比,分析结果基本吻合。支撑轴最大应力均发生在下部螺栓支撑处,结构力学计算结果为151.45MPa,有限元分析结果大致为149.43~189.37MPa,远小于Q345钢材的屈服应力,结构安全可靠。整体支撑结构变形很小,最大位移为4.1mm左右,满足模板平整度及垂直度要求,适用于变形缝模板支撑工程的施工。
4工程实例
4.1工程概况
佳源·巴黎都市一期项目建筑面积172658m2,内有7栋住宅楼,地上33层,地下1层车库,3栋商业楼,为全现浇钢筋混凝土框架剪力墙结构,外围护墙和分户墙为500px厚混凝土墙,两单元中间设1道伸缩缝,缝宽675px。在施工中采用本模板支撑系统,达到变形缝两边混凝土墙板同时浇筑的目的。本项目2013年2月开工建设。应用该模板系统技术缩短了工期,达到5d一个结构层的目标。工程质量好,施工安全,变形缝内模板拆除干净。
4.2模板支撑系统施工工艺流程
施工工艺流程:支撑体系选择→测量放线→下层结构上部穿墙螺栓安装→安装墙板厚度控制支撑→墙模板面板组合就位→支撑龙骨系统下吊安装→模板系统加固→拆除模板。
4.3操作要点
4.3.1测量放线
在墙板定位放线时,对墙板的变形缝侧面必须保证与下一层上下一致。若出现不一致的(如胀模或缩模的)应修正,修正高度应自操作面向下≥300mm高,平整度偏差不超过3mm。
4.3.2下层结构上部穿墙螺栓安装
立模之前首先把下一结构层墙板施工时的最上一层的穿墙螺栓穿好。该做法有2个作用:①作为墙板模板及龙骨系统的临时支撑点;②防止模板、龙骨在施工下吊后无法清理而影响结构性能。
4.3.3安装墙板内侧模板及厚度控制
1)安装前应进行全面技术交底(模板、支撑系统安装和安全要求)。
2)模板、支撑系统部件进场后,应依据模板、支撑系统设计要求清点数量,核对型号,并将支撑系统部件标识入库保养待用。
3)组装模板时,用醒目字体对模板及支撑系统部件编号,安装时对号入座。
4)模板安装前必须放出模板内侧线及控制线作为安装基准。
5)合模前必须将内部清理干净,必要时在模板底部留置清扫口。
6)合模前,前道工序(钢筋工程、水电安装等)必须进行隐蔽工程验收并验收合格。
7)模板就位前应涂刷隔离剂,刷好隔离剂的模板遇雨淋后应补刷;使用的隔离剂不得影响结构工程质量。
8)提前确定对拉丝杆的位置,在模板上标定定位并按丝杆规格提前钻孔(孔径应略大于丝杆直径),以利于对拉丝杆的安装和固定模板。墙板厚度支撑应固定牢固,按梅花状设置,间距≤400mm。应采用带中心穿墙螺栓孔的混凝土支撑块,通过穿墙螺栓固定。混凝土支撑块强度应与墙板混凝土同等级,且有内加筋,也可使用有端部防腐的钢支撑,严禁采用无筋低强度的混凝土或砂浆支撑。
9)已经完成钢筋及预埋隐蔽检查验收工作,利用塔式起重机将组合变形缝模板吊装到位(双侧),按照模板基线初步固定。
4.3.4墙模板面板组合就位
墙板模板面板可以采用多层板、竹胶板等拼装,也可使用大钢模板。要求墙板模板向下伸过原已浇混凝土≥300mm,且与原混凝土接触面有可靠防渗漏浆措施。每块模板上必须预设吊移勾,保证拆模时能顺利从变形缝内移除。
4.3.5龙骨支撑系统下吊安装
在墙板模板面板就位后,安装龙骨支撑系统。由于该系统单片质量较轻,采用人工下吊安装或人工安装机械配合均可,操作简便。安装剪刀型支撑机构和对拉丝杆并校正模板,校正模板后旋转机构丝杆固定顶撑槽钢龙骨骨架到位。重点控制以下几点。
1)安装前认真检查每片支撑龙骨系统,确保竖向龙骨平直。
2)竖向龙骨下伸长度要到模板面板下口。
3)竖向龙骨沿墙板方向间距严格按模板施工方案要求设置。
4)当模板面板没设水平龙骨或墙板为圆弧形时,支撑系统上部应加设水平钢龙骨,以协调各片支撑系统之间受力,并对墙板形状起固定作用。
5)在紧固中心拉杆上部螺栓调整宽度时,严格控制上口宽度,保证变形缝上下宽度一致。
4.3.6模板系统加固
模板系统加固重点控制模板面板的垂直度和支撑体系的强度、刚度和稳定性,确保在整个混凝土浇筑过程中,模板系统不变形、不移位、不漏浆。加固方案按模板工程施工方案。
4.3.7拆除模板操作要点
1)拆除模板及狭小空间支撑体系时,必须办理相关手续。
2)拆除时墙板混凝土的强度必须满足设计要求和规范拆模规定,变形缝处的模板及狭小空间支撑体系拆除,不得损伤混凝土结构。
3)拆模时当墙缝模板横向收缩脱离墙面时,两侧板端沿图1所示“上固定板”向内滑动5mm,距离可以根据旋转螺母调节,即反向旋转支撑机构丝杆,向内回旋1/3圈即可。收缩支撑机构脱离槽钢龙骨骨架,取出支撑系统。
4)拆除变形缝处的组合模板及狭小空间支撑体系拆除后,应立即清理模板、丝杆、支撑机构等,支撑部件上油保养入库备用,模板涂刷水性隔离剂并按编号堆放待用。
4.4质量控制要点
4.4.1工程质量控制标准
施工质量执行《混凝土结构工程施工质量验收规范》GB50204—2002。
4.4.2质量保证措施
1)施工前必须保证支撑系统龙骨靠模板面的平直,若达不到要求必须更换或维修。
2)安装墙板模板面板前,必须保证下层墙板混凝土面平整度和截面尺寸正确,偏差在3mm以内。若混凝土表面尺寸偏差较大的,腰线采用打磨、修补使之符合要求。
3)安装时必须保证支撑系统龙骨下落到墙板模板面板最下端,支撑系统宽度调整好后必须保证龙骨与模板面板接触紧密,无缝隙。
4)在支撑体系加固时,严格按经过计算并审批过的模板施工方案进行,并经过验收程序。
5)浇筑混凝土过程中,派专人看护模板,发生意外情况时及时处理。
5结语
根据以上结构力学计算和ANSYS有限元分析,以及相应工程实例和施工技术的说明,可以验证该支撑系统是安全可靠的,此外双墙板支撑系统还具有以下优势:它能够将变形缝两侧混凝土墙体两次施工优化为一次性施工,避免了2次施工占用工期较长、施工难度较大的问题,消除建筑工程变形缝对施工工艺的影响。根据工程实践,使用该模板支撑系统,对1道变形缝的建筑物,每个结构层可加快工期2~3d。该技术缩短了施工工期、安全性能非常高、周转次数多,节约钢管租赁费和节约成本,技术成熟,非常适合推广采用。
作者:涂刚要
转自:《施工技术》