
研究背景
地铁车站:
地下交通系统快速发展
经济和便利角度
经停繁华商业地段以及集中住宅区
浅埋大跨径空间结构
地震波传播产生散射和反射
地表临近建筑:
车站临近地表已存在建筑物
原有的场地条件被改变
1、是否会影响到地表建筑的地震响应?
2、影响有多大?
简化模型
广义层间位移谱—层间位移角

弯剪型悬臂梁模型

侧向刚度比
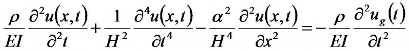
无阻尼连续弯剪组合梁模型在基础受水平加速度作用时,其动力反应方程如下:

不同固有周期结构的最大层间位移角为m所提取的振型数;

已知结构固有周期,可计算层间位移沿无量纲高度z/H的分布
分析方法
方法说明

弯剪梁刚度比取10表示弯剪框架结构,取前6阶振型,阻尼比取0.05。
模型参数

(1)埋深为2 m;
(2)车站为线弹性模型;采用等效前后刚度不变的原理,折减弹性模量;
(3)用摩擦接触面考虑结构与周围土的接触作用,摩擦系数取0.3。

计算工况


Kobe地震波加速度峰值调整为0.1g;
加速度时程和反应谱分别如图所示;
取水平距离d为5m,10m,15m三种工况进行分析;
取T=0.5s,1.0s和2.5s,分别表示短周期、中等周期和长周期结构。
结果分析
地铁车站对临近结构层间位移角的影响

d=5m时广义层间位移谱计算结果:当存在地铁车站时,临近建筑结构的层间位移角较之无车站工况计算结果有明显地增加。
地铁车站对临近结构层间位移角的影响


不同水平距离IDR峰值 (卓越周期T=0.9s) 
地铁车站的影响不容忽视;
随着距离d增加,层间位移角的增幅在逐渐减小,表明地铁车站影响将逐渐减小。
地铁车站对不同周期建筑结构的影响



短周期结构(T=0.5s):当水平距离d=10 m和15 m时,地铁车站带来的影响几乎可以忽略;但是当距离车站较近时,d= 5 m,建筑结构的最大层间位移角和结构整体沿高度方向的层间位移都将显著增加。



中等周期结构(T=1.0s):距离车站最近时(d=5 m),结构中上部和结构下部层间位移角变化并不明显,但是却显著增加最大层间位移角附近高度结构的层间位移。



长周期结构(T=2.5s):结构中上部和结构下部的层间位移增加幅度最为明显,当距离车站较近(d=5m)时,结构下部的层间位移几乎与无车站时结构最大层间位移角相等。
结论
(1)地铁车站的存在将增加临近建筑的层间位移,随着距离的增加,影响将逐渐减小。
(2)不同固有周期结构受到的影响存在差异:短周期结构距离车站较近时所受影响最为明显;中等周期结构中下部位的层间位移将有明显增加;对于长周期结构,结构中上部和结构下部层间位移的增加幅度最为显著。
(3)地铁车站的存在不会影响层间位移沿结构高度方向的分布规律和最大层间位移角出现部位。
探讨说明
本文的结论基于特定算例,具有一定局限性,但期望能提供参考,引起重视,实际工程情况复杂多变,需要深入研究;
考虑地下结构的影响还需要深入分析的内容:地下结构尺寸、埋深、地震波的传播等因素影响,以及地表建筑的结构形式差异影响。
( 由基础工程网整理自2016海峡两岩岩土工程/地工技术交流研讨会,报告人:中国建筑第六工程局有限公司 郭靖)