山区地下采空区对地面边坡的采动影响及评价
2016-05-16
492
0
核心提示: 1、前 言 山区存在的地下采空区,引起山区地表移动和采动坡体的附加应力的变化,加剧山体滑坡和崩塌,这些位移变形具有非
1、前 言
山区存在的地下采空区,引起山区地表移动和采动坡体的附加应力的变化,加剧山体滑坡和崩塌,这些位移变形具有非连续和突发性,其移动变形的程度和分布形态难以用数学方法进行准确计算和预测,只能根据坡体岩性、形态和可能受到的采动附加应力和应变,用数学力学方法近似进行预测和评价,从而制定边坡或采空区的加固措施,或者采取避让措施。
2、山西采空区简述
山西省采煤沉陷地质灾害是全国最严重省份,山西采煤形成的采空区已达到5000平方公里,相当于山西1/8的国土面积,塌陷面积约3000 平方公里,受灾人口300万。山西省国土资源厅提供的最新矿山地质环境调查结果显示,全省因采矿活动引发的崩塌、滑坡有754处,影响面积14万亩,地面塌陷多达2976处,影响面积100多万亩,仅2010年因矿山开发导致的地面塌陷及采矿场破坏土地就达20.6万亩,其中12.99万亩是耕地。
对于水资源破坏,每生产1吨煤破坏2.54m3水资源量,由于采煤造成的矿区漏斗,导致井泉水位下降或断流共计四万多个,影响水利工程433个,造成三千多个村庄人畜饮水困难。铁路(高铁)、公路建设运行受到严重影响,地面造成崩塌、滑坡、沉陷和建筑物破坏。山西省目前计划参考国有重点煤矿采煤沉陷区治理标准,从2014年到2020年基本完成全省采煤沉陷区治理任务。
3、山区厚层黄土与下覆基岩在采空沉陷中的相互作用
黄土覆盖条件下的基岩是两种物理力学性质存在显著差别的介质,厚层黄土一方面降低了上覆地层综合强度,另一方面为加剧沉陷变形创造了地形地貌和水文地质方面的有利条件。同时山西黄土普遍具有严重湿陷性,地下水位埋藏很深,土层呈非饱和状态,地表因采动产生的大量张拉裂隙,在裂缝尖灭深度以上,裂缝又成为地表水的下渗通道,使采动前地表水无法渗入的黄土深部产生浸水,地表水下渗遇到黄土层中有一定倾向的古土壤或泥页岩隔水层,产生长期浸水,含水量增加,强度大幅降低,形成沿这些软弱面的边坡滑动。采动引起的张拉裂隙,使土体疏松,孔隙增大,地表土渗透能力大大增强,加剧了地表水下渗能力。山西省内煤层赋存的沉积岩地层,岩层非均质和各向异性十分明显,地形地貌的特殊条件,导致山区地下采动引起地表移动非连续性和非对称性,地下开采引起岩层移动变形,破坏了岩土体的地质力学特性,开采引起的附加应力改变了覆岩的原始应力状态,同时地下开采减弱了倾斜基岩的下卧支撑,诱发了具备滑坡地形地质条件的山体产生采动滑坡。
4、采动滑坡的特点
4.1 采动滑坡性质
采动滑坡是指地下采空区引起地面倾斜岩体以滑动形式向较低水准面的位移,滑坡范围不仅与采空区位置有关,更主要的取决于地形地貌及环境条件。
4.2 采动滑坡移动特征
移动变形值主要取决于开采强度及覆岩与土层特征。采动滑坡是岩体连续性的根本破坏,破坏面一般是明显的外倾式软弱层理面或断裂结构面。对于地表有厚层黄土的采动边坡,圆弧滑动的潜在滑动面,可以根据内摩擦角滑坡后壁张性裂隙发育深度确定。采动边坡场地稳定性与地下开采条件、地表移动变形特征、煤(岩)柱稳定性有关系,但还取决于地表地形、地貌环境及其他诱发因素。
4.3 采动滑坡移动变形分布特点
采动边坡一般可分为“拉张变形区”、“挤压下沉区”、“剪切下沉区”、“鼓胀隆起区”。其中,“拉张变形区”位于采空区外侧坡肩侧,产生拉张变形裂隙;“挤压下沉区”位于采空区上方,地表下沉值最大,有小量挤压变形,一般不出现裂缝;“剪切下沉区”位于采空区两侧,产生压缩、剪切变形;“鼓胀隆起区”位于采空区外侧坡脚,产生水平剪切及鼓胀变形。
4.4 采动滑坡危害特征
采动滑坡具有突发性,波及范围大,不易准确预测等特点,比一般滑坡危害大得多。
5、采动边坡稳定性评价
采动边坡稳定性评价应该在确定边坡破坏模式的基础上,采用工程地质类比法、结构面组合判断法、极限平衡法、数值分析法进行综合评价,有条件时可以进行模型试验。采动边坡坡脚作为建设场地时,对坡脚的鼓胀、隆起变形对工程建设的适宜性进行评价。
5.1 采动边坡稳定性极限平衡法验算
采动边坡的稳定性极限平衡法验算,是在对一般性的滑坡稳定性分析基础上,考虑采动附加应力而进行的。
采动附加应力包括采动坡体的附加水平力Fε,附加剪切力Fι,附加垂直张力Fω,而与稳定性计算直接相关的则是附加水平力Fε,把采动强度与附加应力建立相关关系,进而用一般的分析方法对坡体稳定性进行分析。
采动附加应力与采厚、采深、坡体下方开采宽度、坡体岩性、坡体倾角、坡顶边缘倾斜和水平变形值等参数有关。
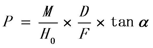
5.2 采动强度系数计算
式中P:采动强度系数;
H0:坡体下方煤层平均开采深度;
M:开采厚度;D:开采宽度;
α:坡面平均倾角;F:与坡体岩土层性质有关的系数,可按参考资料取值,范围1~3。
5.3边坡采动评价
一般5<P≤10,为极严重采动;3<P≤5,为严重采动;1<P≤3,为中等采动;0.5<P≤1,为轻微采动; P≤0.5,为极轻微采动;P值的计算应遵守如下原则:D、
H0、M应按相同的长度单位(m)计算,P值为无量纲系数。
6、工程实例简介
6.1 太原煤气化公司古交炉峪口煤矿风峁顶采动边坡
①概况
太原市煤气化公司古交炉峪口煤矿风峁顶采动边坡,位于山西省古交市西北约13Km,炉峪口村东部山梁风峁顶西侧一带,属太原西山煤田西北边缘,地貌为中低山区,地表多为黄土覆盖,植被稀少,经长期风化剥蚀,沟谷纵横,多呈“V”字形,山顶黄土广布,沟谷两侧基岩裸露,属典型的沟谷侵蚀地貌单元,区内西北部紧临狮子河床,地势陡峻,地形坡度基岩区最大坡脚48°,黄土区最大坡脚60°,东南部地势较为平缓,呈东高西低,最高处风峁顶标高1145m,西部炉峪口村所处汾河滩标高1030m,最大相对高差115m。出露地层至下而上为二叠系山西组,下石盒子组、上石盒子组和第三系保德组,第四系离石组,马兰组,全新统地层,前者主要分布于狮子河支流两侧山坡沟谷地带,后者主要分布于山梁和河床地带。含煤地层为石炭系太原组和二叠系山西组,主要采空区开采2+3#煤层。
采动边坡已出现较大变形,在山顶主要表现为张拉变形,形成塌陷台阶,在山腰主要表现为向外挤压下沉,在坡脚主要表现为鼓胀隆起变形。
②煤矿采空区特征
矿山采用综合开拓式开采,在风峁顶山体下部进行采煤活动,在F17断层下盘形成采空区。采空区采煤沉陷是风峁顶不稳定地质体活动的引发因素。同时洗煤企业工业污水通过地面下渗流向F17断层上盘2+3#煤层采空区,造成采空区积水。
③地面灾害及裂缝调查
2008年9月中旬至10月下旬,山体出现宽约200m,长约230m的裂缝密集分布带,形成地面隆起或下陷,导致炉(峪口)~嘉(乐泉)铁路专用线炉峪口至镇城底段1Km+450m处铁路线地表下沉30~50mm,水平移动8~15mm,水平变形0~1mm/m,铁路线外移,公路路基开裂,排水沟上隆,护坡变形,护墙外倾,蓄水池歪斜,山顶移动信号转播塔倾斜,企业生产用房地基下沉,房屋外倾成为危房,严重威胁着公路、铁路和附近居民的生命财产安全。
本区共发现较明显裂缝25条,走向北东—西南方向,一般呈线性沿采空区展布,部分略呈波状延伸,其中延伸长度为50~100m的地裂缝7条,大于100m的3条,最长的139m,一般宽2cm,最宽15cm,山顶地带地裂缝共见有11条,规模大。山腰地带裂缝共见有7条,发育较差。大致计算采动强度P值为1.2,为中等采动。
④数值模拟分析
采用RFPA-SRM软件分别对地质模型进行数值模拟,根据模拟结果分析风峁顶不稳定地质体的形成机理及其稳定性如下图:

图1地质模型图

图2 现状变形图

图3 最终变形图
受断层构造的影响,在岩(土)体自重作用下首先对断层带进行压密,且在
F20断层顶端出现应力集中,随后应力转移到山脚处集中,采空区形成后,开始并未对应力分布产生影响,在
F20断层下盘软弱层(泥岩层、层间接触带等)岩体和山脚处岩体内出现破裂,破裂范围逐渐增大并形成裂缝,且公路垂直边坡上部的岩体被挤出,采空区顶板及其上部岩(土)体开始向下塌落和移动,顶板附近岩体及
F17断层上盘岩体出现破裂,逐渐形成裂缝,并向两端延伸。
随着采空区的塌实,在山脚处岩体、
F20断层上盘岩体和
F17断层上盘岩体内形成了多条裂缝并相互贯通,如图3所示。坡脚处岩体内的裂缝与软弱层内裂缝贯通后又向上延伸至铁路地表,形成滑移面,最终导致铁路与公路间的坡体产生滑坡。
⑤坡体采动变形预测分析
目前,由于采空区的影响,风峁顶不稳定地质体处于应力松弛阶段,即出现反滑现象。根据数值模拟结果,待采空区顶板完全塌落后,会再一次对
F20断层下盘岩体产生挤压,在山脚出现应力集中,在软弱层(泥岩层、层间接触带等)内和坡脚附近发生岩体破裂,坡脚处产生鼓胀、隆起变形及裂缝,采空区上部和
F17断层顶端地表挤压、剪切下沉区也会形成沉陷,
F17断层外缘产生张拉裂隙。在持续挤压作用下,坡脚处裂缝与软弱层内裂缝贯通并向上延伸至铁路地表,形成滑移面,在铁路垂直边坡上部岩(土)体形成不稳定区,导致铁路与公路间的坡体发生滑坡。
因此,目前在地表上表现出的特征为不稳定斜坡的水平位移量沿反坡向方向逐渐增大,当采空区顶板与底板完全接触后,水平位移量又会顺坡向逐渐增大,直到滑坡发生。
6.2 山西霍州煤电吕临能化公司庞庞塔煤矿采动滑坡
①概况
位于山西省临县的山西霍州煤电吕临能化公司庞庞塔煤矿是山西霍州煤电集团建设的1000万吨/年的大型矿井。2010年以来,在该矿工业广场南部山顶发现多条裂缝,局部地段已形成崩塌及滑坡,严重影响矿山安全运行。
矿区位于吕梁山脉中段西部中低山丘陵区,为典型的梁峁状黄土丘陵地貌,地形切割剧烈,沟谷多呈“V”字形,长年干旱少雨,植被稀少,水土流失严重。
井田大部分地段由第三、第四系松散层覆盖,局部有二叠系上石盒子组地层零星出露,地层情况由下至上主要有奥陶系下、上马家沟组及峰峰组;石炭系本溪组、太原组;其中太原组9#煤是主要可采煤层。二叠系山西组;上、下石盒子组;石千峰组。其中山西组5#煤是主要可采煤层,3#煤局部可采。三叠系:刘家沟组、和尚场组、二马营组。新生界第三系,中更新统、上更新统、全新统。
②采空区特征
根据庞庞塔煤矿提供煤井上、井下对照图,可以初步确定5#、9#煤的采空边界范围。
采空区主要由四个时间阶段形成,分别为:
上世纪80~90年代,本区煤矿开采多为小型煤矿。在东部边缘煤层埋藏较浅的区域开采,开采5#煤层,采空区面积4km2(包括古采空区)。
原县营煤矿2000年2月至2004年3月,在工业广场南部山体的南坡外侧,开采形成采空区,开采方式为房柱式,这个采空区距裂缝处距离60~70m,距地表深度220~250m,是引起地表裂缝的主要采空区。
2005年至2006年,庞庞塔煤矿采用长壁式大面积开采5#上、9#煤,采空区距裂缝距离220m,是引起地表裂缝的重要采空区。
2009年后开采9#煤,采空区距裂缝距离250m,采用长壁式开采,是引起地表裂缝的次要采空区。
③裂纹分布情况
出现裂缝的山体为土质山体,地表可见裂缝基本与2000年2月至2004年3月采空区边界相平行,局部崩塌滑坡、错台式下沉、裂缝,裂缝至2009年秋天开始出现,为张拉裂隙,形状较为平整,地表呈直线或弧线状,周围山体出现不同程度台阶错台。
Lf01裂缝:距采空区边界55m,经人工填埋,呈直线型,长度80m,为2009年秋季雨季形成。山顶地层年代为Q3、Q2,上部为浅黄色粉质粘土,垂直节理发育,下部为浅红色粉质粘土,间夹多层钙质结核,主要为5#煤采空引起张拉变形区的张拉裂缝。
Lf02裂缝:距采空区边界70m,局部表现为错台,地表裂缝呈弧形,与采空区边界基本平行,长度420m,缝宽5~10cm,可见深度1~2m,西高东低错台,错台高30cm,2009年秋季雨季形成,地表为Q3粉质粘土,为5#煤采空引起的张拉裂隙。
Lf03裂缝:距采空区边界40m,长度55m,缝宽10~50cm,上下错台30cm,与Lf02裂缝距离25~35m,为5#煤采空区裂缝浸水坍塌引起的剪切下沉。
在采空区西南侧形成了长度约300m,高度约10m的台阶,与采空区边界基本平行,为5#煤采空区形成的挤压下沉及剪切下沉。采空区的西北角,2011年6月形成了长度约100m的滑坡,高度75m,上宽10m,下宽50m,面积2863m2,现场做了临时挡墙进行了处理。
④采空区对于坡体的采动影响分析
通过分析认为5#煤采空区距地表约220m,距裂缝水平距离70~60m,地面倾角平均约32度,经计算采动强度P约为1.6,为中等采动。可以认为5#采空区是产生采动变形的主要附加应力。9#煤采空区距地表约260m,距裂缝水平距离250m,地面倾角比较平缓,平均约10度左右,经计算采动强度P约为0.5,为轻微采动,对地表坡体影响较小。

图4 采动影响分析模型
7、结论
(1) 地下采空区对于地面边坡工程的影响具有多方面复杂因素,地面边坡的地形地貌和结构构造也是主要控制条件。
(2)用采动强度对采动影响进行综合评价,具有较好的代表性。
(3)采动强度评价参数,应该更多考虑边坡工程的稳定性评价指标,边坡的倾向、倾角,潜在滑动面位置及滑动面强度参数;更要考虑边坡与采空区的相对位置关系等等。
(整理自2016年海峡两岸岩土工程/地工技术交流研讨会分会场报告,汇报人:荆和平)