1.降水影响半径
确定影响半径的方法很多,在矿坑涌水量计算中常用库萨金和吉哈尔特经验公式作近似计算。当设计的矿山进行了大降深群孔抽水试验或坑道放水试验时,为了推求较为准确的影响半径,可利用观测孔网资料为基础的图解法进行推求。
1.1.经验公式法
计算影响半径的主要经验公式见表1。



|
岩土名称
|
主要颗粒粒径(mm)
|
影响半径(m)
|
|
粉砂
细砂
中砂
粗砂
板粗砂
小砾
中砾
大砾
|
0.05~0.1
0.1~0.25
0.25~0.5
0.5~1.0
1.0~2.0
2.0~3.0
3.0~5.0
5.0~10.0
|
25~50
50~100
100~200
300~400
400~500
500~600
600~1500
1500~3000
|
|
单位涌水量(L/S·m)
|
影响半径(m)
|
单位涌水量(L/S·m)
|
影响半径(m)
|
|
>2.0
2.0~1.0
1.0~0.5
|
>300~500
100~300
50~100
|
0.5~0.33
0.33~0.2
<0.2
|
25~50
10~25
<10
|
公式1
公式2
公式3
公式4
公式5
公式6
公式7
公式8
公式9
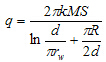
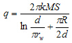
公式10
公式11
公式12
公式13
公式14
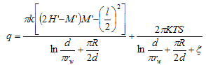
公式16
公式17
:过滤器有效长度m;
:管井半径(m);
公式18
w:水的重度,kN/m3;
:隔水层土的重度,kN/m3。
公式19
:某点到各井点中心距离,m;
公式20
:某点到各井点中心距离,m;
公式21
为越流强度;
弱含水层的渗透系数;
水头损失;




