微型桩托换在动力基础改造中的应用
2015-10-30
581
0
核心提示:李瑜,魏焕卫,孔军( 山东建筑大学 土木工程学院 山东 济南 250014 )摘 要:文章针对某罐体运行时振幅过大的现象,通过对原有基
李瑜,魏焕卫,孔军
( 山东建筑大学 土木工程学院 山东 济南 250014 )
摘 要:文章针对某罐体运行时振幅过大的现象,通过对原有基础进行测定及理论计算分析,得出该罐体振幅过大的原因为:(1)原有混凝土桩的扰动造成了砂土液化现象,从而导致桩侧摩阻力降低。(2)原有混凝土桩的水平承载力与抗拔强度不足。基于周围环境条件、施工工艺条件以及安全使用的原则,提出了微型桩托换加固的方案,通过微型桩自身的强度以及桩身侧摩阻力来提高基础的水平承载力和抗拔强度,从而限制了罐体的振幅,达到加固效果。
关键词:动力基础;微型桩托换;加固设计;强度验算
引言
在带有旋转设备的罐体的改造过程中,经常会遇到因基础水平承载力不足而导致罐体振幅过大,影响罐体的使用,此时需要对罐体基础进行加固处理。常用的方法有复合注浆加固法,增大基础底面积法和微型桩托换加固法,而微型桩托换加固法具有承载力高、沉降量小、施工简单等优点
[1],在基础加固中的应用越来越广泛。唐泽华等对动力机器荷载、基础和地基共同作用进行了分析,对动力机器基础的设计能从数值上加以控制
[2];孙剑平等通过大量的实验分析,提出单桩竖向承载力的经验公式
[3];黄广龙等对微型桩抗拔性能的研究
[4];苏荣臻等对微型桩水平承载力和抗拔强度的计算方法的研究
[5];王幼青等对桩水平承载力的研究
[6]GB50007-2011《建筑地基基础规范》、JGJ94-2008《建筑桩基技术规范》、JGJ79-2012《建筑地基处理技术规范》和GB50040-96《动力机器基础设计规范》等为桩基础的设计施工提供的设计标准
[7-10]。文章通过分析罐体运行时的受力情况,针对可能出现的振幅过大的问题,提出了微型桩托换加固的方法来提高基础的水平承载力与抗拔强度。
1 工程概况
某已建二级蒸馏塔系统包括T501: 直径2.6m,高28m蒸馏塔一座及相应配套设备;T601:直径3.0米,高28m的蒸馏塔一座及相应配套设备;基本柱网尺寸8×8 m,最大柱底轴力约3000 kN(如图1所示)。由于罐体改造后,罐体水平荷载超出基础水平承载力,罐体在运行时振幅过大,影响罐体的安全使用。为了保障罐体安全运行,需要对原有基础进行加固处理。
图1 加固基础平面布置图
2 地质情况
根据现场的岩土工程勘察报告,该场地范围内的土层自上而下为:(1) 层杂填土:层厚为2.5~3.0 m,杂色,松散,稍湿,成分以回填粉粘土为主,内含建筑垃圾、生活垃圾、少量碎石、砖块等;(2)细砂:层厚0.5~0.9 m。褐色,松散~稍密,稍湿。分选较好,磨圆度一般,级配一般。成分以石英为主。(3)碎石:层厚为2.5~3.7 m。褐色;稍密~中密;湿~饱和;(4) 微风化砂岩:浅褐色。原岩层状构造,具有近水平层理。矿物成分以石英、长石为主,钙质胶结(如表1、图2所示)。
表1 土的力学参数指标
|
名 称
|
极限侧阻力标准值qsik( kPa)
|
极限端阻力标准值qpk( kPa)
|
承载力特征值fak(kPa)
|
|
(1)
|
/
|
/
|
/
|
|
(2)
|
/
|
/
|
120kPa
|
|
(3)
|
150
|
2500
|
250kPa
|
|
(4)
|
220
|
2800(经验值)
|
2000kPa
|
3 原因分析
3.1 砂土液化原因
当动力基础振幅较大时会对桩侧砂土产生扰动,造成砂土液化现象,进而大大降低了桩的侧摩阻力,导致桩的承载力不满足设计要求。
3.2 改造原因
搅拌设备改造后,原有的桩基础不能提供足够的水平承载力和抗拔强度,在搅拌设备运行时罐体振幅过大,如唐泽华等对动力机器荷载、基础和地基共同作用进行了分析[1]。当罐体旋转时,离心力可按式(1)计算:

图2 工程地质剖面图

其中:

为旋转部件的总质量;

为旋转部件总质量

对转轴的折算偏心距;

为转速。(受力分析图如图3所示)
图3 罐体受力分析图
根据公式(1)得:

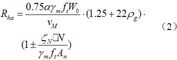
根据JGJ94-2008《建筑桩基技术规范》单桩水平承载力特征值可按式(2)计算:
其中:

为桩的水平变形系数;

为桩截面模量塑性系数,此处

=2;

为桩身混凝土抗拉强度设计值;

为桩身换算截面受拉边缘的截面模量;

为桩身最大弯距系数,此处取0.926;

为桩身配筋率;

为桩身换算截面积;

为桩顶竖向力影响系数,此处取1;N为桩顶的竖向力。
根据公式(2)得:

,因为

,所以不满足设计要求。
4 加固设计
4.1 加固原则
桩主要承担竖向荷载和水平荷载。当罐体静止时,罐体处于稳定状态,所以桩的竖向承载力符合要求。在加固过程中可不考虑竖向承载力的要求,罐体运行时,桩的水平承载力不满足设计要求,则会发生振幅过大,影响罐体安全,所以必须增大罐体基础的水平承载力。
4.2加固方案
4.2.1 复合注浆加固法
复合注浆法是将静压注浆法和高压旋喷注浆法进行时序结合发挥两种注浆技术优势的一种注浆技术。其先采用高压旋喷法对桩底进行加固处理,旋喷后再进行静压灌浆加固桩底及桩身,从而达到提高桩基础承载力的目的(如图4所示)。但是注浆浆液的可控性较差,不能定向定位,易出现串浆及跑浆现象,浆液易流失到加固区域以外的地方,难以增强土层强度,达不到加固效果。
图4注浆加固示意图
4.2.2微型桩托换加固法
微型托换桩加固法是通过新增微型桩将上部结构荷载传递到下部较硬土层,并且通过微型桩提供的端阻力与侧摩阻力增强罐体的抗拔性能与提高基础的水平承载力,根据现场情况可使用这种方案:
因为原有混凝土承台面积较小,混凝土强度很难达到设计要求,并且不易于施工,所以增大原有钢筋混凝土承台的底面积,在新浇筑混凝土基础中设置微型桩,(如图5、图6)。新旧混凝土之间通过钢筋与螺栓链接(如图7)。
4.3微型桩计算设计
4.3.1 水平承载力计算
图5 微型桩及承台平面布置图

图6 微型桩身及承台示意图

图7 剖面图
罐体运行时会产生较大的离心力,而原有基础不能提供足够的水平承载力,则新增微型桩要满足水平承载力要求。因此,微型桩单桩水平承载力设计值可通过公式(3)、(4)进行计算:
其中

为单桩水平承载力设计值,

为桩的水平变形系数;

为桩身抗弯刚度;

为桩顶水平位移系数,可按JGJ94-2008《建筑桩基技术规范》取值;

为桩顶容许水平位移,

为地基土水平抗力系数的比例系数,可按JGJ94-2008《建筑桩基技术规范表》 取值;

为桩身的计算宽度,对于微型桩

。
根据公式(3)得:

。所以 ,

水平承载力满足要求。
4.3.2抗拔验算
应用于罐体的微型桩需要承受较大上拔荷载,所以新增微型桩要满足上拔荷载要求的条件。微型桩单桩抗拔承载力由桩周侧摩阻力和桩身自重组成,根据黄广龙等对微型桩抗拔性能的研究
[3],对于采用灌注混凝土成桩的微型桩抗拔极限承载力标准值可按式公式(5)进行计算:
其中:

为桩周长(m);

为第

层土的厚度(m);

为第

层土的极限侧阻力标准值(kPa),如无当地经验值时,可按《建筑桩基技术规范》(JGJ94-2008)表5.3.5-1取值;

为第

层土极限侧摩阻力抗拔折减系数;

为单桩的自重力。
根据公式(5)得,单根微型桩与单根原有混凝土桩的抗拔极限承载力标准值为:

;根据受力分析,由离心力产生的上拔力为:

。所以,微型桩满足抗拔要求。
4.3.3强度计算
新旧混凝土承台之间通过植筋与螺栓链接,需要对该部位进行强度验算。此处钢筋承担竖向剪力,可按公式(6)进行计算:
其中

为上部结构荷载,

为受剪切承载力截面高度影响系数,

为冲切系数,

,

为计算截面剪跨比;

为新增混凝土抗拉强度设计值,

为截面尺寸;

为计算处有效高度。
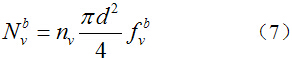
此处螺栓承担水平剪力,可按公式(7)公式(8)进行计算:
其中

为罐体运行时产生的离心力;

为剪切面数,此处取1;

为螺栓直径,此处为
30 mm;

为螺栓抗剪设计强度,此处取
320 N/mm2。
经过验算得,钢筋与螺栓强度都符合规范要求。
4.4微型桩托换加固设计
4.4.1选用材料
水泥采用42.5普通硅酸盐水泥;钢筋采用HPB235,HRB335;钢管:Q235;混凝土:承台C40,垫层C15。
4.4.2 微型桩类型
采用微型钢管桩对发酵罐地基基础进行加固,共14个罐体基础84棵微型桩(如图8所示)。微型桩直径为
220mm,自室内地面的成孔深度为
13.1m;单桩承载力特征值为
500KN。
图8 罐体基础和锚固件平面布置图
4.4.3微型桩施工
微型桩进人微风化砂岩不小于1.0 ,采用二次压力注浆;成孔采用泥浆护壁成孔,成孔清孔后,下放钢筋笼,外侧设置钢筋撑力环。微型桩采用孔底压力注水泥砂浆,压力注浆管采用加工成花管形状的钢管,均匀布置。微型桩施工工完毕后,在微型桩顶部焊接钢筋。(如图9所示)。
5结语
动力基础中经常出现因为水平承载力不足的因而导致的振幅过大。针对这种问题,根据建筑物资料和周边环境,提出合理的加固方案。微型桩托换加固法是将新增混凝土承台,微型桩通过钢筋和螺栓与原有混凝土承台连接为整体,微型桩将上部竖向荷载传递到下部较好土层,微型桩通过自身强度提高基础水平承载力并且通过侧摩阻力提高基础抗拔强度以此来控制建筑物的振幅,避免出现砂土液化现象,从而保证机器的正常运行。
图9微型桩立面图
参考文献
[1]魏焕卫,李岩,孙剑平等,微型桩在某储煤仓基础加固中的应用[J].岩土工程学报,2011,33(2):384-387
[2] 唐泽华等. 动力机器荷载、基础与地基共同作用的数值计算[J],山东冶金,2001,23(4):55-57
[3]孙剑平,徐向东,张鑫.微型桩竖向承载力的估算[J].施工技术,1999,28(9):20-21.
[4]黄广龙,方 乾,苏荣臻.土地基微型桩抗拔试验研究[J]. 岩土工程学报,2010,32(11):1789-1793
[5]苏荣臻,鲁先龙.微型桩单桩水平及抗拔承载力试验研究[J],常州工学院学,2008,21:55-57
[6]曹维科,王幼青.桩基础水平承载力性能研究[D],哈尔滨:哈尔滨工业大学,2011:1-63
[7]GB 50007-2011,建筑地基基础设计规范[S].北京:中国建筑工业出版社,2011.
[8]JGJ94-2008,建筑桩基技术规范[S]..北京:中国建筑工业出版社,2008.
[9]JGJ79-2012,建筑地基处理技术规范[S].北京:中国建筑工业出版社,2012.
[10] GB50040-96,动力机器基础设计规范[S].北京:中国计划出版社,1997.