含细粒饱和砂土静态液化特性试验研究
2015-08-13
380
0
核心提示: 问题的提出与研究意义 2008年9月8日,山西省襄汾溃坝事故,形成泥石流,波及下游500米左右的矿区办公楼、集贸市场和部分民
问题的提出与研究意义
2008年9月8日,山西省襄汾溃坝事故,形成泥石流,波及下游500米左右的矿区办公楼、集贸市场和部分民宅,事故导致277人死亡、4人失踪、36人受伤,直接经济损失达9619.2万元。
①阵雨后坡面上雨水; ②松散边坡受到雨水侵蚀;③边坡土体抗剪强度下降;④雨水进一步侵蚀斜坡;⑤不稳定的低坡土体出现滑移破坏。
①在雨水作用下较低的斜坡受到破坏而被冲走;②/③受到边坡滑动的扰动,导致后方坡体的孔隙水压力迅速上升,抗剪强度迅速下降至为零,呈大面积流滑破坏。
在加载过程中偏应力在峰值后的急剧降低而接近零值,砂土表现出类似于流体的特征,但由于砂土未承受动荷载作用,为与通常的振动液化区别,故称之为静态液化。自然界中饱和砂土中含有粉粒或/和粘粒,因此研究含细粒的饱和砂土静态液化具有重要意义。
研究内容及试验方案
细粒粒径对饱和砂土静态液化影响
表1 细粒粒径影响试验方案
|
围压
|
50kPa
|
|
粒径比D50/d50
|
3.55、5.95、12.94
|
|
粉粒掺量
|
5%、15%、20%、30%、45%
|
细粒塑性对饱和砂土静态液化影响
表2 细粒塑性影响试验方案
|
围压
|
50kPa、100kPa、200kPa
|
|
塑性指数IP
|
膨润土300
|
|
高岭土18
|
|
细粒掺量
|
5%、10%、15%、20%
|
细粒粒径大小和含量对砂土液化影响
纯净砂S的试验结果:
纯净砂在剪切过程中没有发生液化性状,抗剪强度处于持续增强状态,表现出硬化型。

纯净砂S剪切结果图
纯砂S+硅微粉FI,D50/d50=3.55试验结果:
重塑粉砂SFI在各掺量均发生了静态液化现象,达到峰值后抗剪强度降为0。
纯砂S+尾矿粉FⅡ,D50/d50=5.95试验结果:
细粒含量5%时,暂时液化;
含量15%、20%时,液化,有一定残余强度;
含量30%、45%时,完全液化。
纯砂S+石粉FⅢ,D50/d50=12.94试验结果:
细粒含量5%、 15%、20%时,无液化,充分稳定;
含量30%、45%时,完全液化。
小结:
•细粒粒径大小是影响砂土液化的一个重要因素。
•在细粒含量小于30%时,随着粒径比的增大,饱和砂土会出现完全液化、暂时液化、充分稳定的性状,且细粒含量的作用规律受到细粒粒径大小的影响。
•细粒含量大于30%时,纯砂颗粒被细粒分开,砂土将从砂粒转换成细粒主导整体骨架结构来承受外力剪切作用。
细粒塑性对砂土液化特性的影响
固结围压100kPa、20%相对密度的试验条件下,纯净砂掺入5%膨润土细粒和5%高岭土细粒。
固结围压50kPa
掺入低塑性细粒曲线均表现出典型的软化型应力应变关系,表现出完全液化现象。
掺入高塑性细粒5%时,静态液化;10%时,暂时液化;15%、20%,充分稳定。
固结围压100kPa
掺入低塑性细粒曲线均表现出典型的软化型应力应变关系,表现出完全液化现象。
掺入高塑性细粒5%、10%,暂时液化;15%、20%,充分稳定。
固结围压200kPa
掺入低塑性细粒曲线均表现出典型的软化型应力应变关系,表现出完全液化现象。
掺入高塑性细粒,各掺量情况下均为暂时液化。
固结围压的影响
随着固结围压的增大,纯净砂从充分稳定状态退化为暂时液化。
对于含低塑性细粒(高岭土)提高固结围压并不能抑制或阻止完全静态液化行为的发生。
掺加高塑性细粒(膨润土),细粒含量较低时(5%) ,固结围压增大,砂土抗液化性能逐渐提高,与纯净砂相反;
细粒含量较高时(15%、20%),抗液化性能随着围压的增大反而下降,呈现 “逆反性”,与纯净砂一致。
小结:
•细粒塑性对砂土静态液化具有显著的影响;
•掺入低塑性细粒的砂土均发生静态液化,而掺入高塑性细粒试样在相同细粒含量下除了发生静态液化还出现暂时液化、充分稳定的现象;
•掺入高塑性细粒的粉砂在细粒含量较低时,与纯净砂呈相反性状。高塑性细粒含量较高时,呈现出 “逆反性”,与纯净砂的规律相一致。
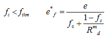
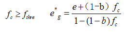
基于粒间孔隙比的砂土液化分析
粒间孔隙比模型 Thevanayagam(2002)
Rahman(2011)给出b值计算公式
不同细粒含量与粒径大小下的等效粒间孔隙比变化:
根据各试样等效粒间孔隙比的不同将其分成三种情况:
情况1:e*< emax-sand
细粒基本处在砂粒间孔隙内部,具有较高的抗液化能力。
情况2:e*≥ emax-sand
细粒不仅分布于砂粒间孔隙内,更会处于砂颗粒相互接触面上,在受到外力作用时,这部分细粒会加强砂粒相互滑动作用并导致其迅速滑入孔隙内,砂土会出现液化现象。
情况3:e*>>emax-sand
砂土的细粒含量达到临界状态 ,细粒开始充当着隔离砂粒的作用,砂粒与砂粒之间基本没有相互接触作用,砂土的抗剪强度主要来自粉粒间的接触摩擦作用, 砂土极易于出现液化,且液化完后的抗剪强度基本降至为0。
不同细粒塑性下的等效粒间孔隙比变化
按照粒间孔隙比的规律,两种砂土的液化规律性现象应该基本一致,均会出现很明显的静态液化特性,但高塑性细粒砂土的试验结果完全相反!
应根据塑性指数IP及应力比h参数对等效粒间孔隙比公式进行修正。(来源:华侨大学岩土与地下工程系 肖朝昀)