考虑二维和三维尺寸效应的基坑抗隆起稳定安全系数
2015-08-11
630
0
核心提示: 一、基坑抗隆起稳定性安全系数在基坑设计中的作用 基坑设计的杆系有限元变形计算方法 基坑设计的主流方法---杆系有限元
一、基坑抗隆起稳定性安全系数在基坑设计中的作用
基坑设计的杆系有限元变形计算方法
•基坑设计的主流方法---杆系有限元方法由于计算模型简单、荷载清晰,参数少,有利于工程经验积累;
•变形与稳定性分开考虑,需要引进保证基坑稳定的安全系数。
基坑工程的环境保护等级分类

Ks值与基坑变形关系
(早期上海地铁数据)

Ks值与基坑变形关系(Peck)
在软土地区,采用板桩围护+内支撑体系时,抗隆起稳定安全系数既可以控制围护结构的入土深度,又可以反映基坑变形范围,处于设计的核心地位!
二、基坑抗隆起稳定性安全系数计算方法的变迁
早期的基坑抗隆起稳定分析方法
基坑抗隆起稳定安全系数:
•Skempton(1951)提出了考虑基坑形状及尺寸影响的承载力系数Nc值;
•Bjerrum(1956)通过类比方法把该系数用于基坑稳定性分析。

基坑抗隆起稳定安全系数的计算图(Terzaghi,1943)


Nc的取值(Skempton,1951)
早期基坑稳定分析方法的缺陷
•不能考虑围护结构插入比的影响;
•只能考虑不排水情况,不能考虑φ≠0情况;
•可以近似地考虑基坑形状对稳定性的影响,但计算Nc值时采用的方法是不严谨的。

基坑抗隆起稳定安全系数的计算图(Bjerrum,1956)

Bjerrum安全系数中Nc取值的近似性
汪炳鉴-夏明耀基坑抗隆起稳定安全系数法
墙底抗隆起稳定安全系数的计算图(汪炳鉴-夏明耀,1983)
汪-夏法基坑安全系数的缺陷
•计算值偏大很多,尽管大多规范推荐此安全系数,但在具体设计中一般不控制设计结果;
•尽管该系数可以考虑围护结构插入比的影响,但由于不再采用Skempton地基承载力计算方法,使其不能考虑基坑宽度、形状对稳定性的影响。
基坑设计规范建议安全系数的演变及缺陷
•假设不同的滑裂面和安全系数定义可以得到一系列安全系数,由于假设不同这些安全系数彼此间没有可比性;
•所有安全系数均用于控制围护结构的入比深度;
•所有的安全系数在不同宽度和平面形状时计算结果相同。
与Terzaghi基坑安全系数相反,现有规范采用的安全系数主要用于控制围护结构入土深度,普遍忽略了基坑尺寸、形状对安全系数的影响,在狭窄基坑设计时会造成浪费,使设计偏于保守!
工程中的极端情况

南水北调穿黄隧道工作井(直径18m,挖深50m,地下墙深76.6m)

上海交通大学深水试验池(内径6.2m,挖深36.5m,地下墙深44.5m)
三、改进基坑稳定性分析安全系数的思路及尝试
改造基坑稳定分析的安全系数的思路
思路一:保留原安全系数定义,调整算法以考虑基坑宽度、形状对安全系数的影响;
思路二:保留原有算法形式,调整安全系数定义,使其能够考虑基坑宽度、形状对安全系数的影响;
思路三:定义新的安全系数,综合考虑围护结构插入比、基坑宽度以及形状的影响。
抗倾覆稳定安全系数的改造(保留定义,修改算法)
保留原有安全系数定义,在宽基坑时可以退化为传统的抗倾覆稳定安全系数。
改进的抗倾覆稳定安全系数的应用

不同宽度基坑的围护插入深度 (王洪新,2011)
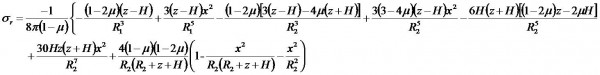
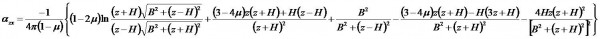
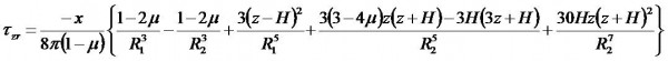
Terzaghi抗隆起稳定安全系数的改造(调整定义,保留算法)
针对φ=0情况
针对φ≠0情况

调整后的抗隆起稳定安全系数受基坑宽度的影响
K随基坑宽度的变化(φ=0)

不同挖深、宽度时的抗隆起稳定安全系数值(φ=0)

不同挖深、宽度时的抗隆起稳定安全系数值(φ≠0)
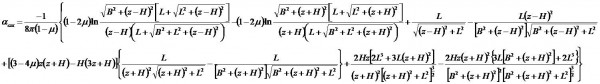
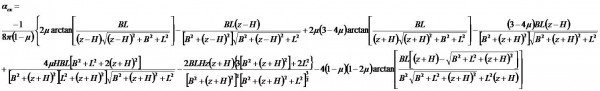
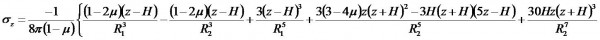
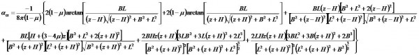
四、综合考虑基坑形状、围护入土深度的抗隆起稳定安全系数(同时修改定义、算法)
基坑抗隆起稳定性分析的计算模型
•考虑最不利状态稳定性分析的基坑卸载模型;
•侧面力被支撑体系平衡后的稳定性分析简化模型。
基坑抗隆起稳定性安全系数的定义
极限卸载力Pu的计算
条形基坑
矩形基坑
圆形基坑
圆形基坑抗隆起稳定安全系数容许值的确定

按《上海地铁基坑工程施工规程》地铁对环境保护等级分类的标准:一级,δH≤0.14%;二级,δH≤0.3 % ;三级,δH≤0.7 % ,则要求一级环境保护等级时,Kw≥1.9;二级基坑时,Kw≥1.5;三级基坑时,Kw≥1.2。
矩形基坑抗隆起稳定性的角效应
手枪形基坑的抗隆起稳定安全系数计算
基坑形状对抗隆起稳定安全系数的影响
Kw与太沙基安全系数的关系
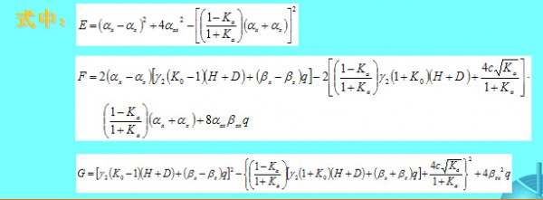
失稳基坑的安全系数分析
太沙基基坑安全系数的再次改进
改进太沙基基坑安全系数的应用
基坑平面尺寸5.8×8.1m;挖深H=4.5m;地面超载q=10kPa;土层重度γ=18kN/m3;不排水抗剪强度为c=14kPa。
五、关于基坑稳定性分析的思考
思考
•既然规范中推荐的基坑安全系数问题很多,为什么现场设计的基坑大多还能够保持稳定呢?
•基坑安全系数研究还有必要吗?如果研究,还存在哪些问题没有解决?
•常用的安全系数有必要在修订规范时做调整吗?如果调整真的会引起设计的混乱吗?
•规范所有的安全系数是不是都具有不同的物理意义,还是物理意义相近,只不过是地基承载力计算方法差异导致了不同算法?
•现有规范的安全系数是否覆盖了所有基坑破坏形式?有没有必要在基坑设计中引入新的安全系数?
•如何验证新提出的安全系数?分析失稳基坑时安全系数小于1是不是就意味着安全系数合理?
基坑抗隆起稳定安全系数能够被证明吗?
(来源:上海城建市政工程(集团)有限公司 王洪新)